Перечень документов для подачи на алименты
Содержание ребенка до его совершеннолетия, а в некоторых случаях и после него – прямая обязанность его родителей, вне зависимости от того, состоят они в браке или нет. При этом если один из супругов не выделяет средств на воспитание ребенка, второй родитель вправе подать на алименты. Перечень необходимых для этого документов зависит от ряда обстоятельств.
Основные пути решения проблемы
Оформление алиментов может быть произведено такими путями, как:
- Заключение по обоюдному согласию на выплату алиментов.
- Оформление алиментов с помощью суда.
- Оформление алиментов совершеннолетними детьми.
При этом подать на алименты можно как будучи в браке, так и после развода. В зависимости от ситуации пакет документов будет несколько отличаться.
Соглашение по обоюдному согласию
Наиболее простым и быстрым способом считается обоюдное соглашение об уплате алиментов. Заключается оно у нотариуса при наличии следующих бумаг:
- Свидетельство о рождении ребенка.
- Паспорт обоих родителей.
- Справка о доходах за 3 последних месяца. Предоставляется лицом, которое будет выплачивать алименты.
- Свидетельство об установлении отцовства. Для этого необходимо обратиться в ЗАГС с просьбой предоставить выписку из реестра.
В судебном порядке
Второй вариант оформления алиментов наиболее частый. При этом неважно, состоят ли родители в браке или развелись, жили в гражданском браке.
К основным документам относится:
- Свидетельство о рождении и две его копии.
- Два оригинала искового заявления о взыскании алиментов.
- Паспорт истца.
- Справка из ЖЭКа, подтверждающая, с кем проживает ребенок и на чьем иждивении находится.
Основной документ для разбирательства в суде – иск. Он должен быть правильно составлен, в противном случае дело будет отклонено. В исковом заявлении на алименты указываются:
- Адрес и название суда.
- Полные данные обоих родителей:
— фамилии, имена, отчества;
— домашний адрес;
— паспортные данные.
Вот образец заявления:


- Свидетельство о расторжении брака. Прилагается в том случае, если на алименты подается уже после развода. Предоставляется оригинал и две копии.
- Выписка из домой книги или справка их ЖЭКа, подтверждающая проживание ответчика по указанному в заявлении адресу. Предоставляется в том случае, если истец и ответчик проживают по одному адресу. Необходимы оригинал и копия.
- Также может потребоваться номер банковского счета, на который в дальнейшем будут перечисляться алименты.
Документы для выплаты алиментов матери
В главе 14 «Семейного кодекса» РФ указано, что до достижения ребенком 3-летнего возраста или в случае беременности и нетрудоспособности, жена может подать на алименты, предназначенные для ее непосредственного содержания.
Для этого в суд представляются следующие документы:
- Иск по такому образцу:


Алименты на совершеннолетнего ребенка
Согласно закону, ребенок по достижению совершеннолетия имеет право взыскать алименты с родителей в случае своей нетрудоспособности
Зачастую причины этого:
- инвалидность;
- обучение в ВУЗе на дневном отделении.
Для взыскания средств на содержание подается:
- Исковое заявление по бланку:


Если лица состоят в браке
На алименты можно подать и находясь в браке, о том, как это сделать — читайте тут. К примеру, если отец не дает денег на содержание ребенка, а тратит их на себя.
В таком случае, в основном пакете документов подается свидетельство о браке, а не о разводе. Кроме того, необходимо предъявить доказательство того, что ответчик не содержит семью, составить список свидетелей.
Если свидетельство о браке утеряно, то его всегда можно восстановить, следуя этой инструкции.
Гражданский брак
Подать на алименты можно даже в том случае, если имеет место гражданский брак.
Пакет документов – тот же. Отличие состоит лишь в том, что не подается свидетельство о браке или разводе.
В случае если ребенок был усыновлен отцом – бумага об усыновлении.
Видео: Взыскание алиментов и нужные документы
Более детально узнать об алиментах и документах для подачи заявления вы сможете из короткого видео:
Как оформить алименты на ребенка
Алиментные обязательства по факту существуют у каждого родителя с момента рождения ребенка. Но пока отец с матерью исправно выполняют свой родительский долг, необходимость в рассмотрении этого вопроса у них не возникает.
Ситуация меняется позже, когда один из них забывает об обязанности содержать ребенка. И в этой ситуации другой родитель вправе приступить к оформлению алиментов. Но сделать это важно правильно, выбрав наиболее оптимальный способ и нужную последовательность.
В каких случаях ребенку положены алименты
Например, подать на алименты может мать ребенка, рожденного:
-
- вне брака (если только отец признает его и даст согласие на вписание своего имени в свидетельство о рождении либо это сделает за него суд по результатам установления родственных связей);
- в течение 300 дней после развода;
- в браке;
- другими родителями, но усыновленного с супругом в период брака;
- от мужчины, впоследствии лишенного родительских прав.
От исполнения обязанностей по содержанию несовершеннолетних детей отец может быть отстранен только в одном случае — если его отцовство было оспорено в судебном порядке. Сделать это можно только после рождения ребенка, и выплаченные к тому моменту суммы обратному взысканию не подлежат.
Алименты положены и совершеннолетним детям:
- инвалидам с детства;
- утратившим трудоспособность.
Кто может стать инициатором
Заняться оформлением алиментов (заявить в уполномоченный госорган) несовершеннолетний лично не вправе, поскольку законом он в гражданской правоспособности ограничен. В его интересах будет выступать законный представитель:
- Отец или мать (в зависимости от того, кто из них уклоняется от содержания ребенка).
- Опекун (от имени подопечного младше 14 лет).
- Попечитель (в пользу ребенка от 14 до 18 лет).
Что касается совершеннолетнего нетрудоспособного ребенка, подать на алименты может он сам, но только при условии обладания полной дееспособностью. За тех, кто был лишен или ограничен в ней судом, юридически значимые действия будет выполнять назначенный опекун или попечитель.
На что вправе рассчитывать ребенок
На содержание несовершеннолетнего законом установлен минимальный порог — сумма, которой должно хватить на покрытие его базовых нужд. Она определяется двумя методами:
- пропорционально доходу плательщика (долевое взыскание);
- исходя из прожиточного минимума и потребностей получателя (твердая сумма).
Размер алиментов в долевом соотношении составляет:
- 1/4 от доходов родителя на одного ребенка;
- 1/3 — на двоих;
- 1/2 — на троих детей и более.
Если источники и размер прибыли алиментщика с точностью определить нельзя либо получатель — совершеннолетний нетрудоспособный ребенок, сумма денежного содержания назначается в форме фиксированного платежа.
При определении твердой суммы учитывается:
- материальное положение плательщика и получателя;
- прожиточный минимум, установленный для данного региона;
- наличие дополнительных обязательств алиментщика;
- состояние здоровья родителей и ребенка.
Способы оформления
Добиться материальной помощи от родителя можно в принудительном или добровольно-принудительном порядке — через суд либо путем заключения соглашения об уплате алиментов.
Первым следует попробовать внесудебный способ оформления. Он возможен при следующих условиях:
- И плательщик, и получатель в состоянии найти компромисс и договориться о размере и порядке выплаты алиментов.
- Обе стороны соглашения полностью дееспособны.
- Суть договора не противоречит законным интересам получателя и плательщика.
- У родителей (представителей и т. п.) есть возможность лично или через посредников посетить нотариуса для удостоверения сделки.
Достоинство внесудебного оформления — в отсутствии спора и сложностей, связанных с его разрешением, а также в том, что условия договора должны стать более приемлемыми для сторон, поскольку составлялись ими самими.
Недостатком может стать размер затрат на удостоверение соглашения — нотариусы Москвы за данную услугу берут около 8 тысяч рублей.
Оба исполнительных документа — соглашение об уплате алиментов и судебный акт — обладают равной юридической силой и могут стать основанием для принудительного взыскания денежных средств через судебных приставов.
Для оформления алиментов во внесудебном порядке сторонам договора потребуется:
- Обсудить содержание соглашения и удостовериться в его соответствии актуальным нормативно-правовым актам (в данном случае — Гражданскому и Семейному кодексу РФ).
- Изложить утвержденные пункты в трех экземплярах.
- Прийти к нотариусу (подойдет любой лицензированный специалист, не зависимо от его местоположения).
- Поставить на бумагах подписи и передать нотариусу для удостоверения.
После заключения соглашения у сторон и нотариуса должно остаться по одному экземпляру. В случае утери документ можно восстановить через нотариальную контору, в которой происходило удостоверение.
Как составить соглашение
Документ оформляется письменно — от руки или с использованием ПК — на листах A4 (с одной стороны).
В нем необходимо указать:
- Вводную информацию — ФИО, паспортные данные, место жительства, статус сторон, ФИО ребенка.
- Предмет соглашения — суть и ключевые пункты (размер, момент начала выплат и т. п.).
- Форму и сроки алиментных отчислений — каким образом и в каких числах будут осуществляться выплаты, способ подтверждения передачи алиментов.
- Права и обязанности сторон.
- Срок действия договора — условия расторжения сделки, обстоятельства, влекущие за собой прекращение обязательств или пересмотр особенностей их исполнения.
Соглашение в обязательном порядке подписывается сторонами и удостоверяется нотариусом.
Можно ли разорвать сделку?
Прекращение действия соглашения наступает в трех случаях:
- Достижение несовершеннолетним 18-ти лет или восстановление трудоспособности совершеннолетним.
- Подача обоюдного заявления о расторжении.
- Обнаружение недействительности документа.
В одностороннем порядке (по желанию одного плательщика либо получателя) соглашение расторгнуто быть не может.
Если условия договора перестали удовлетворять одну из сторон, его можно оспорить полностью или в части. Это осуществимо только при наличии веских оснований, например, в случае изменения материального, семейного положения алиментщика либо возникновении иных обстоятельств, влияющих на его платежеспособность.
Недействительное соглашение признается таковым с самого заключения и при некоторых обстоятельствах уже выплаченные средства могут быть возвращены алиментщику. Но так происходит крайне редко, только при обнаружении в действиях получателя явной недобросовестности.
В судебном порядке
Если дело дошло до суда, представителю ребенка потребуется:
- Составить заявление о взыскании алиментов.
- Подготовить пакет необходимых бумаг.
- Направить заявление и документы в суд.
- Получить вынесенный судьей акт о назначении алиментов (исполнительный лист).
При стабильном и «прозрачном» уровне дохода родителя ребенок получит долю от его общего размера. В этом случае взыскание будет производиться на основании приказа, выданного мировым судьей в ходе упрощенного производства.
Но дел об определении размера алиментов в твердой денежной сумме это не касается. Иск с подобной просьбой рассматривается по всем правилам искового производства. В отличие от приказного в ходе процесса осуществляется:
- Слушание с вызовом двух сторон.
- Исследование доказательной базы, представленной истцом.
- Вызов свидетелей (при наличии).
В итоге истцу также выдается решение о взыскании, с которым он потом сможет истребовать с алиментщика установленную сумму.
В подаваемом заявлении указывается:
- ФИО взыскателя и должника (в исковом производстве — истца и ответчика), место их регистрации.
- Наименование и местоположение суда первой инстанции.
- ФИО и дата рождения ребенка.
- Реквизиты свидетельства о рождении.
- Сведения о доходах плательщика.
- Иные заслуживающие внимания обстоятельства.
- Просьба заявителя по существу.
- Перечень документов, приложенных к заявлению.
- Дата подачи.
Скачать заявление о выдаче приказа Скачать иск о взыскании алиментов в твердой денежной сумме
Необходимые документы
К мировому судье представитель ребенка вместе с заявлением о выдаче приказа приносит:
- Свидетельство о рождении или паспорта ребенка.
- Свой паспорт.
- Решение органа опеки и попечительства (если заявитель не приходится несовершеннолетнему родителем).
- Свидетельство об усыновлении (для усыновителя).
- Справка о доходах плательщика.
- Копии заявления и остальных предъявляемых бумаг.
Если рассматривается дело об определении твердой суммы алиментов, к представленному выше перечню следует добавить:
- показания свидетелей;
- любые документы, позволяющие установить примерный доход и состав личных материальных активов алиментщика;
- расчет суммы средств, необходимых для содержания ребенка;
- справки, способные повлиять на размер твердой денежной суммы (о состоянии здоровья ребенка, доходах истца и др.).
Можно оформить алименты в браке?
Заявить о взыскании денежных средств на содержание ребенка один из его родителей вправе не только после развода. Ведь даже, проживая в одном доме как законная семья, отец или мать могут недобросовестно исполнять свои обязательства и совсем не участвовать в финансовой заботе о совместном ребенке.
И в такой ситуации существование законного брака — вовсе не препятствие для оформления алиментов на несовершеннолетнего.
Что делать дальше
Заключение соглашения или получение судебного акта само по себе к получению денежных средств ведет не всегда — бывают случаи, когда плательщик даже после оформления алиментов продолжает уклоняться от выполнения родительских обязанностей.
Тогда представителю несовершеннолетнего или уже совершеннолетнему ребенку нужно будет обратиться в службу судебных приставов для подачи заявления о принудительном исполнении документа об удержании алиментов.
Должностное лицо службы принудительного взыскания обязано обеспечить получение периодических платежей по содержанию ребенка и/или задолженности по ним. Для этого могут быть предприняты такие меры:
- Вынесение приказа о взыскании.
- Подача распоряжения об удержании денежных средств к месту работы/службы должника.
- Арест материальных активов алиментщика.
- Продажа его имущества (возможно части) с торгов для покрытия задолженности.
За несоблюдение сроков передачи алиментных платежей с должника дополнительно будет взиматься нейстойка в размере 0,1 % от невыплаченной суммы за каждый день просрочки.


Для вас работают БЕСПЛАТНЫЕ КОНСУЛЬТАЦИИ! Если вы хотите решить именно вашу проблему, тогда:
- опишите вашу ситуацию юристу в онлайн чат;
- напишите вопрос в форме ниже;
- позвоните +7(499)369-98-20 — Москва и Московская область
- позвоните +7(812)926-06-15 — Санкт-Петербург и область
Как подать на алименты
Сколько денег и на что можно требовать

Алименты — это материальная помощь на содержание несовершеннолетних детей, одного из супругов, родителей или других родственников. Например, получать алименты могут нетрудоспособные дедушка или бабушка либо несовершеннолетние брат или сестра. Самый распространенный вид алиментов в России — выплаты на несовершеннолетних детей.

Обычно алименты — это деньги. Но родители могут договориться в специальном соглашении, что в счет алиментов пойдут траты на секции, отдых и одежду для ребенка.
Обычно алименты платят каждый месяц, но можно договориться платить реже. Например, перечислять на содержание ребенка 100 тысяч рублей раз в полгода вместо 16 тысяч каждый месяц — это тоже нужно указывать в соглашении.
Разберемся, какие алименты бывают, кто должен и не должен их платить и какие документы нужны, чтобы подать на алименты.
Родители обязаны содержать своих несовершеннолетних детей. Если родители развелись, это не значит, что воспитывать и содержать ребенка теперь должен кто-то один. Если после развода ребенок остается жить с одним из супругов, второй должен платить алименты на его содержание.
Читать еще: Как аннулировать доверенность (генеральную, нотариальную, на предоставление интересов)
Вот кто кроме супругов может подать на алименты на несовершеннолетнего ребенка:
- Опекун или попечитель ребенка.
- Приемные родители.
- Усыновитель.
- Организация для сирот и детей, оставшихся без попечения родителей.
- Орган опеки и попечительства.
Перечисленные выше люди и органы имеют право требовать алименты с родителей ребенка, даже если их лишили родительских прав.
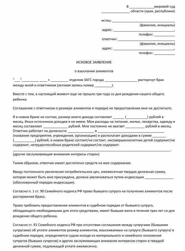
Получать алименты может супруг в браке без развода. Согласно семейному кодексу, супруги обязаны материально поддерживать друг друга. Один супруг может отказываться помогать второму. Тогда второй супруг имеет право требовать с него алименты, если он:
- Нетрудоспособный и нуждается в помощи — он инвалид или пенсионер.
- Ухаживает за ребенком-инвалидом второй или третьей группы, пока ему не исполнится 18 лет, или ребенком-инвалидом первой группы — в том числе после 18 лет.
Если жена беременна или со дня рождения общего ребенка прошло менее трех лет, она тоже имеет право требовать алименты на свое содержание. В Орловском областном суде женщине удалось взыскать алименты с супруга в размере прожиточного минимума в регионе — 9694 рубля в месяц.
Право на алименты от бывшего супруга имеют:
- Бывшая жена во время беременности и в течение трех лет со дня рождения общего ребенка.
- Бывший супруг, который ухаживает за ребенком-инвалидом второй и третьей группы, пока ему не исполнится 18 лет, или ребенком-инвалидом первой группы — в том числе после 18 лет.
- Бывший супруг, который стал нетрудоспособным до развода или в течение года после него.
- Бывшая жена, которой исполнилось 55 лет, или бывший муж, которому исполнилось 60 лет, или если один из супругов вышел на пенсию не позднее чем через пять лет с момента расторжения брака.
Перечисленные выше категории супругов имеют право на алименты, если бывший супруг имеет возможность их выплачивать, например имеет высокую зарплату или пенсию.
В суде такие дела не редкость. В Омске женщина обратилась в суд с иском, где просила расторгнуть брак и взыскать с бывшего супруга алименты. Истица была инвалидом и нуждалась в материальной поддержке и помощи. Суд удовлетворил иск и взыскал с бывшего супруга алименты — 3000 рублей в месяц.
Дети обязаны содержать своих родителей, если те нетрудоспособны и нуждаются в помощи. Например, если родитель инвалид или достиг предпенсионного или пенсионного возраста.
При этом дети должны быть старше 18 лет и трудоспособны. Еще важно, чтобы они могли себе позволить платить родителям алименты.
В Красноярске родители-пенсионеры потребовали алименты со своей дочери: 13 000 рублей на мать и 7000 рублей на отца — всего 20 000 рублей. У дочери есть несовершеннолетний ребенок, а получает она 14 000 рублей в месяц. Судья частично удовлетворила иск и взыскала с дочери алименты, но в гораздо меньшем размере: по 500 рублей в месяц на каждого родителя.
Если дети не помогают родителям, родители могут обратиться в суд и потребовать алименты. Но родитель должен быть нетрудоспособным, действительно нуждаться в помощи и суметь доказать это в суде.
В Тюмени пенсионерка требовала с детей алименты на свое содержание. Ее пенсия — почти 23 тысячи рублей плюс компенсации за лекарства и коммунальные услуги. Суд отказал пенсионерке в иске, поскольку ее доход выше прожиточного минимума в регионе. По мнению суда, пенсионерка может содержать себя самостоятельно.
Родителям не положены алименты, если их лишили родительских прав или суд установит, что они не выполняли обязанности родителей.
Кто еще может подать на алименты
Подать на алименты на свое содержание могут не только супруги или родители, но и другие родственники, если они нетрудоспособны и им больше некому помочь: несовершеннолетние или нетрудоспособные брат или сестра, дедушка или бабушка, внук, отчим или мачеха.
Еще на алименты может подать воспитатель, который воспитывал и содержал ребенка больше 5 лет, если только он не попечитель и не приемный родитель.
Кто может не платить алименты
В некоторых случаях алименты можно не платить.
Родитель. Если супруги заключили добровольное соглашение об алиментах, они могут прописать случаи, когда алименты можно не платить. Например, если супруга повторно вышла замуж и ее новый муж усыновил ребенка, если ребенок устроился на работу или открыл ИП до совершеннолетия.
Когда ребенок становится совершеннолетним, алименты платить не нужно. Исключение — если один родитель задолжал по алиментам. Тогда другой родитель имеет право потребовать выплатить долг даже после того, как детям исполнилось 18 лет.
Родитель может не платить алименты по решению суда, если его семейное или материальное положение изменилось. Например, отец ребенка стал инвалидом и не может трудиться на прежней работе. В этом случае он может пойти в суд и потребовать освободить его от алиментов. Но суд не всегда идет навстречу.
В республике Дагестан мужчина попросил суд снизить алименты на детей, потому что стал инвалидом. Он утверждал, что из-за этого изменилось его материальное положение. Раньше он платил почти 15 000 рублей в месяц на четверых детей, а в суде попросил снизить сумму до 5000 рублей. Суд в иске отказал, поскольку установленная истцу третья группа инвалидности не лишает его способности работать.
В другом деле отец платил по 6400 рублей на детей и захотел снизить размер алиментов. Мужчина решил, что раз он уже задолжал 226 тысяч рублей, то его материальное положение ухудшилось и он имеет право платить меньше. Суд посчитал, что долг по алиментам — не повод платить меньше, и в иске отказал.
Важно: ограничение или лишение родительских прав — не повод не платить алименты. Если суд лишил родителя прав на ребенка, отец или мать все равно обязаны его содержать.
Дети могут не платить алименты родителям, если суд установит, что родители уклонялись от своих обязанностей и не содержали ребенка. Также дети не платят алименты на родителей, лишенных родительских прав. В Красноярске одна женщина попыталась взыскать алименты с дочери, чтобы оплачивать жилье и лекарства. Но суд узнал, что ее лишили родительских прав, и в алиментах отказал.
Какие документы нужны для получения алиментов на ребенка?

Закон гласит, что если один из родителей не принимает участия в воспитании ребенка, обязан осуществлять выплаты в его пользу. Такие выплаты называются алиментами, и правила, касающиеся их начисления и принудительного взыскания, подробно прописаны в законодательстве.
Для того, чтобы родитель начал платить алименты, требуется какое – то основание — либо добровольное соглашение с супругом, либо решение суда. Но для того, чтобы это соглашение или решение появились, потребуется собрать соответствующий набор бумаг. В этой статье пойдет речь о документах, необходимых для оформления алиментов на ребенка.
Когда подавать на алименты
Для того, чтобы подавать на алименты, требуется какое – либо основание. Главной причиной для подачи алиментов на детей является то, что один из родителей не принимает участия в воспитания ребенка. Возникает такое основания в следующих ситуациях:
- Родители развелись;
- Родители не состояли в браке, а затем прекратили общение;
- Один из родителей лишен родительских прав;
- Отец или мать скрываются.
Помимо этого существует еще одно веское основание для выплат – у ребенка имеется инвалидность, и для его содержания требуются дополнительные средства. Законом установлено два способа взыскания алиментов: на основе добровольного соглашения или в судебном порядке. Для начала рассмотрим мирное решение алиментного вопроса.
Добровольное алиментное соглашение
Простейшим решением споров по алиментам является их предотвращение с помощью заранее подготовленного заявления, именуемого добровольным соглашением по алиментам. Суть этого соглашения состоит в том, что супруги заранее определяют размер выплат, порядок, размер компенсаций за просрочки и другие пункты.
Составляется такое соглашение у нотариуса, для составления требуется минимальный пакет документов:
- Паспорта каждой из сторон;
- Свидетельство о заключении брака, если заключен официально;
- Справки, фиксирующие заработок каждого заявителя;
- Документы на детей (если есть): свидетельство о рождении, паспорт, справки о наличии инвалидности и т.д.
Только нотариально заверенное соглашение по алиментам обладает юридической силой. При этом его можно в любой момент расторгнуть по желанию одной из сторон или же изменить по обоюдному согласию супругов.
Как подать на алименты
Если добровольного соглашения по алиментам нет, родитель, воспитывающий ребенка или законный опекун), имеет право попросить суд о принудительном назначении алиментных выплат. При этом документы для обращения в суд различаются в зависимости от того, на каких основаниях иск подается и какая ситуация сложилась. Рассмотрим возможные варианты.
При разводе
Часто исковое заявление о взыскании алиментов подается вместе с исковым заявлением о разводе. Важным отличием этой процедуры является то, что отдельно исковое заявление о назначении алиментов не подается – требования о выплатах прописываются в исковом заявлении о разводе.
- Пакет документов для назначения алиментов в процессе развода имеет следующий вид:
- Исковое заявление о расторжении брака (иногда процедура именуется «разводом по форме номер 10);
- Свидетельство о заключении брака;
- Свидетельство о рождении детей;
- Документы, фиксирующие место проживания ребенка (как правило, это выписка из домовой книги);
- Паспорта родителей;
- Документы, на основе которых будет проводиться расчет суммы алиментных выплат.
Иногда сторонам не удается договориться о том, с кем ребенок после развода будет проживать. В этом случае потребуется привлечение к делу прокурора и органов опеки посредством подачи в суд специальных ходатайств.
Если развод не состоялся
В тех случаях, когда развод не может состояться по каким – либо причинам, у родителя, воспитывающего ребенка самостоятельно, так же сохраняется возможность подать алименты на ребенка. Это возможно, например, если родитель не дает развода или же скрывается. В такой ситуации для обращения в суд потребуется предоставить следующий пакет документов:
- Исковое заявление о взыскании алиментов. Дополнительно в него потребуется вписать причину, по которой алименты запрашиваются еще в браке;
- Свидетельство о рождении ребенка;
- Свидетельство о заключении брака;
- Паспорт истца (если паспорт второго родителя предоставить нельзя);
- Документы, указывающие на место проживание ребенка, а так же на последнее известное место проживания ответчика (если он скрывается);
- Документы, на основе которых будет рассчитываться сумма алиментных взысканий.
Если отец неизвестен
Часто возникает проблема установления отцовства. Ведь алименты назначаются только отцу ребенка, и если он неизвестен точно (то есть не прописан в документах), то помимо стандартной процедуры подачи иска требуется еще и установить отцовство. В этом случае пакет документов будет иметь следующий вид:
- Исковое заявление о взыскании алиментов;
- Свидетельство о рождении ребенка с указанием матери;
- Свидетельство о заключении или расторжении брака (если есть);
- Паспорта сторон;
- Документы, указывающие на место проживания ребенка;
- Ходатайство о проведении экспертизы по установлению отцовства;
- Документы, на основе которых проводится подсчет алиментных выплат.
После того, как будет подано ходатайство об установлении отцовства, судом будет назначена медицинская экспертиза. По результатам этой экспертизы будет выявлено, является ли ответчик отцом, а сам результат в виде медзаключения будет передан в суд в качестве материалов дела. Далее исковое заявление о назначении алиментов будет рассматриваться в стандартном порядке.
Для совершеннолетнего ребенка
Согласно действующему законодательству, выплаты алиментов прекращаются в тот момент, когда ребенку исполняется 18 лет. То есть обязанности по выплатам снимаются с родителя автоматически и отпадает какая-либо необходимость обращения в судебные инстанции.
Но при этом существует одна норма, согласно которой совершеннолетнему ребенку положены алименты от родителя. Согласно этой норме, совершеннолетнему выплачиваются алименты в том случае, если он признан нетрудоспособным и при этом нуждающимся.
Чтобы получить алименты на совершеннолетнего, требуется передать в суд следующие документы:
- Исковое заявление о назначении алиментов;
- Свидетельство о рождении ребенка;
- Паспорта истца и ребенка;
- Справку, фиксирующую нетрудоспособность ребенка (выдается в медучреждении по результатам экспертизы);
- Справку, указывающую на то, что ребенок признан нуждающимся (выдается в органах социальной защиты);
- Свидетельство о заключении или расторжении брака;
- Документ, указывающий на чьем обеспечении состоит ребенок;
- Документы, позволяющие подсчитать сумму выплат по алиментам.
Если взыскание проходит за прошедший период
Последний случай, который требуется рассмотреть – взыскание алиментов за прошедший период. Эта процедура подразумевает, что родитель, опекающий ребенка, подает заявление не только с требованием начать выплачивать алименты, но и с просьбой о выплате компенсации за тот период, который плательщик должен был оплатить.
Подавать такой иск можно в том случае, если ранее плательщику никаких исковых требований не выдвигалось, и ему было известно об обязательствах по уплате. Но у выплат за прошедший период присутствует одно ограничение – взыскать их можно только максимум за три года.
Для того, чтобы подать иск на алименты за прошедший период, необходимо предоставить суду следующие документы:
- Исковое заявление о начислении алиментов. В него вписывают просьбу о взыскании средств за определенный период. Это так же отобразится при подсчете цены иска;
- Свидетельство о рождении ребенка и паспорт (если уже получен);
- Паспорт истца;
- Свидетельство о заключении или расторжении брака (если имеется);
- Документы, фиксирующие место проживания ребенка;
- Материалы дела, которые помогут доказать, что ответчик знал об обязанностях по выплатам, но уклонялся от них (например, добровольное алиментное соглашение);
- Документы, которые позволят рассчитать сумму выплат.
Составление искового заявления
Главным документом для обращении в суд является исковое заявление, содержащее сведения по делу, данные о сторонах, просьбы к суду и иные сведения. Пишется иск в суд в три части:
- Заголовок. Включает адрес суда, наименование суда, ФИО, адрес и контакты истца и аналогичные данные ответчика;
- Информационная часть. Включает описание ситуации (дату заключения брака, когда родились дети, сколько их было, когда состоялся развод) и т.д.. Затем описывается то, где сейчас ребенок, с кем проживает, какие средства на содержание выделяются ответчиком. Следом идет подсчет суммы алиментов, основанный на реальных данных о доходах. Завершают информационную часть просьбы к суду;
- Заключение. Включает полный перечень прикрепленных к иску документов и материалов дела, подпись истца и дату подачи иска в суд.
Документы для подсчета суммы выплат
В статье не раз указывали на документы, которые нужны для подсчета суммы алиментов. Согласно действующему законодательству, размер алиментов исчисляется в соответствии с размером заработка плательщика (четверть заработка на одного ребенка, треть – на двух детей и половина – на трех и более детей). Для того, чтобы этот заработок установить, потребуются доказательства. В их роли выступают:
- Предоставленные работодателем документы о заработной плате;
- Выписки из банка с зарплатных счетов плательщика;
- Иные документы (квитанции об оплате, выписки), которые смогут достоверно установить размер заработка плательщика.
Читать еще: Особенности расторжения договора купли-продажи недвижимости
В том случае, когда установить точный размер заработка невозможно (или его вовсе нет), судом используется процедура начисления алиментов в твердой денежной сумме. Эта процедура подразумевает подсчет алиментных выплат на основе имеющихся данных о непостоянных доходах или на основе установленной в регионе средней зарплаты.
Список документов для подачи на алименты
Семейный кодекс возлагает на родителей обязанность материально обеспечивать совместных несовершеннолетних детей. При разводе или после него супруг, с которым остается ребенок, подает на алименты. Для того, чтобы получить требуемую сумму содержания, необходимо подготовить документы. Состав пакета документов отличается в зависимости от конкретной ситуации.
В статье рассмотрим, какую документацию следует собрать в стандартном случае, а также для назначения алиментов на детей-инвалидов, на мать ребенка до 3 лет, при заключении алиментного соглашения, для увеличения или уменьшения размера выплаты.
Если вопрос решается через суд
Если между родителями возник спор по поводу выплат на содержание детей, получатель алиментов обращается в суд. Потребуется составить исковое заявление и приложить пакет подтверждающей документации.
На несовершеннолетнего
Иск о взыскании алиментных выплат на несовершеннолетнего ребенка составляется по правилам статьи 131 ГПК РФ.
В тексте документа (скачать образец) следует указать:
- наименование судебной инстанции (районный или мировой суд);
- сведения о сторонах (ФИО, адрес, контактные данные);
- обстоятельства спора (факт уклонения второго родителя от обязанности по содержанию ребенка);
- ссылки на нормы законодательства (глава 13 СК РФ);
- требование назначить алименты в долях к заработку или твердой сумме;
- перечень приложений;
- дату;
- подпись.
К иску прикладывают документы для подачи на алименты. Общий перечень установлен статьей 132 ГПК РФ.
В стандартной ситуации предоставляют:
- удостоверение личности заявителя;
- бумагу о заключении брака или разводе;
- свидетельство о регистрации факта рождения несовершеннолетнего;
- справку о составе семьи;
- документы, подтверждающие уровень доходов получателя и плательщика.
Ключевое значение имеют документы, подтверждающие доходы ответчика. От их размера зависит, какая сумма содержания будет установлена судом. Необходимо подготовить трудовой договор с указанием размера заработка, справку 2-НДФЛ, расчетные листки.
В качестве иных доказательств предоставляются видеозаписи, записи телефонных разговоров, переписка. Разрешается привлекать свидетелей.
На ребенка-инвалида
Если малолетний ребенок стал инвалидом, алименты на него назначают с учетом затрат на лечение и уход. Поэтому нужно будет предоставить документы, обосновывающие требуемую сумму выплаты.
В иске (скачать образец) указывают, что малолетний нуждается в постоянном поддержании здоровья. Следует подтвердить величину расходов, которые несет мать для обеспечения ему нормального уровня жизни и оптимального состояния организма.
В дополнительный перечень документов для подачи на алименты входит:
- медицинская документация;
- заключение об инвалидности несовершеннолетнего;
- чеки, квитанции, договоры, счета, обосновывающие расходы на лечение и медикаменты.
Алименты необходимо истребовать в смешанном виде. Выплата устанавливается в долях от заработка с доплатой определенной суммы в твердом размере.
На совершеннолетнего ребенка-инвалида
После 18 лет выплаты на ребенка-инвалида прекращаются. Мать вправе снова подать заявление (скачать образец) на содержание.
Если совершеннолетнему присвоена 1 группа инвалидности, то он нуждается в постоянном внимании и опеки. Алименты на него назначают пожизненно. Инвалиды 2 группы получают выплату до момента обретения полной дееспособности. 3 группа считается трудоспособной, поэтому придется подготовить документы, подтверждающие, что инвалид не может трудоустроится.
Для назначения выплаты инвалиду необходимо предоставить:
- заключение МСЭ с указанием группы инвалидности;
- решение суда о признании недееспособным;
- сведения о доходах ребенка (пенсии, пособия);
- документы о расходах на лечение и поддержание здоровья.
Выплата на совершеннолетнего нетрудоспособного ребенка назначается в твердом размере.
На мать детей в возрасте до трех лет
Если мать малыша в возрасте до трех лет находится в декретном отпуске, она вправе обратиться к супругу с просьбой обеспечить ей содержание. Иск (скачать образец) может быть подан как в браке, так и после развода.
К заявлению необходимо приложить:
- сведения о доходах истца;
- информацию о расходах;
- трудовой договор;
- приказ работодателя о декретном отпуске.
Суд устанавливает алименты в твердой сумме, но не более 50 % от выплаты, полагающейся ребенку.
На мать ребенка-инвалида
СК РФ предоставляет право на алименты родителю, который занимается воспитанием несовершеннолетнего ребенка-инвалида или инвалида с детства, достигшего возраста 18 лет. Бывший супруг перечисляет деньги в течение всего периода времени, пока получатель ухаживает за больным ребенком.
В суд подается иск (скачать образец), в котором указывается, что женщина не может полноценно трудиться из-за необходимости проводить время с инвалидом. Следует подтвердить расходы на лечение и медикаменты.
Вместе с заявлением предоставляют:
- сведения о доходах получателя;
- информацию о расходах на мать и ребенка;
- квитанции, чеки, подтверждающие траты на лечение и медикаменты.
Алименты назначаются в фиксированном размере.
Если стороны подписывают алиментное соглашение
Если супруги договорились о размере ежемесячного содержания, они вправе заключить алиментное соглашение (скачать образец). Для придания документу юридической силы его удостоверяют у нотариуса.
Вместе с соглашением нотариус проверит:
- паспорта сторон;
- документ о регистрации факта рождения несовершеннолетнего;
- свидетельство о заключении брака или его расторжении;
- справку о составе семьи;
- справки 2-НДФЛ обоих супругов.
Если в соглашении оговаривается сумма содержания на ребенка-инвалида, нужно предоставить медицинское заключение.
Если алименты в долях заменяются на содержание в фиксированном размере
Бывает, что у получателя материальной помощи финансовое положение меняется в худшую сторону, а у плательщика имеется более высокий заработок по сравнению с официально подтвержденным. В этом случае разрешается производить изменение способа взыскания алиментных выплат.
Мать подает иск (скачать образец) в суд, в котором обосновывает необходимость замены выплаты в долях на содержание в твердом размере.
Свою позицию необходимо подтвердить следующими документами:
- решением о назначении выплаты в долях от заработка;
- исполнительным листом;
- сведениями о доходах плательщика;
- документами о материальном положении истца.
Также можно приложить информацию об имеющемся в собственности плательщика имуществе.
Если получатель подает иск на увеличение размера выплаты
В какой-то период времени выплачиваемой суммы становится недостаточно. В соответствии со статьей 119 СК РФ получатель вправе подать иск (скачать образец) об увеличении величины содержания. В тексте заявления следует указать основания для повышения размера алиментов и требуемую сумму.
Истец должен предоставить:
- первое решение о назначении алиментов;
- расписки и банковские выписки о перечислении содержания в последние полгода;
- сведения о доходах;
- информацию о расходах;
- медицинские документы о состоянии здоровья несовершеннолетнего.
При подаче иска оплачивается госпошлина. Ее размер зависит от суммы заявленного требования и рассчитывается по правилам статьи 333.19 НК РФ.
Если плательщик обращается за уменьшением суммы алиментов
Часто мужчина после развода вступает в другой брак, в котором рождается еще один ребенок. На него ложатся дополнительные расходы, поэтому он обращается в суд с иском (скачать образец) о снижении размера алиментов.
В обоснование требований предоставляют:
- решение о назначении содержания;
- сведения об изменившемся материальном положении;
- информацию о появившихся иждивенцах;
- данные о расходах плательщика.
Если материальное положение ухудшилось в связи с длительной болезнью, следует подтвердить данные обстоятельства медицинским заключением, чеками о расходах на лечение и медикаменты.
Подведем итоги
Таким образом, в большинстве случаев алименты назначают через суд. Следует внимательно отнестись к составлению иска. Заявитель указывает на то, что плательщик отказывается содержать ребенка. В подтверждение предоставляются бумаги о финансовом положении обоих супругов, фактических расходах на ребенка, его состоянии здоровья. Важно собрать хорошую доказательственную базу.
Бесплатная консультация!
Не нашли ответа на свой вопрос? Узнайте, как решить именно Вашу проблему — обратитесь к нашему юристу в онлайн-чат справа, в форму ниже, или звоните по телефону (круглосуточно):
+7 (499) 110-95-76 — Москва и Московская обл.
+7 (812) 407-30-62 — Санкт-Петербург и Ленинградская обл.
8 (800) 550-46-35 — Остальные регионы России
Какие документы нужны, чтобы подать на выплату алиментов
Подача заявления на взыскание алиментов – дело достаточно серьезное и хлопотное, а потому к нему стоит заранее хорошо подготовиться. Неверное слово или дата в исковом заявлении или в прилагаемом к нему документе, и рассмотрение дела сможет затянуться либо суд и вовсе откажется принять такое заявление к своему рассмотрению.
Какие документы нужны, чтобы подать на алименты, будет зависеть от многих обстоятельств:
- в какую инстанцию пишется заявление: мировому судье, в городской (районный) суд или заключается на добровольной основе соглашение по выплате алиментов у нотариуса;
- пишется заявление с просьбой выдать судебный приказ или подается иск об истребовании алиментов;
- на чье содержание и по какой причине взыскиваются алименты: несовершеннолетний ребенок, нетрудоспособный взрослый, мать с годовалым ребенком и т.д.;
- установлено ли местонахождение лица, с которого планируется получать алименты, а также место его работы, другие источники и размеры доходов;
- расторгнут ли брак между супругами, или они еще пока не разведены;
- будут ли взыскиваться алименты за прошедший период;
- иные.
Документы на любой случай
К каждой ситуации и к каждому заявлению нужно подходить индивидуально и стараться любое свое слово и действие подтверждать документально. Но существует перечень документов для подачи на алименты, который остается неизменным при наличии разных обстоятельств. В каждом конкретном случае он пополняется иными бумагами.
1. Заявление (просьба выдать судебный приказ или исковое заявление по взысканию алиментов). Составляется и подается оно в двух экземплярах – один из них регистрируется в канцелярии суда, на втором ставится отметка о принятии заявления, хранится у заявителя.
2. Паспорт заявителя и его ксерокопия. В идеале нужно откопировать все имеющиеся в документе отметки, но обязательно – страницы с фотографией и личными данными, с отметками о прописке, регистрации/расторжении брака, со сведениями о детях.
3. Свидетельство о заключении официального брака и его ксерокопия, в случаях, когда брак между супругами еще не расторгнут.
4. Свидетельство о расторжении брака и его ксерокопия, если супруги развелись.
5. Свидетельства о рождении детей (или ребенка) и их ксерокопии.
6. Справка о лицах, которые проживаю вместе с заявителем (справка о семейном составе, выписка из домовой книги и т.д.). Она должна быть подробной – с указанием адреса, размера жилого помещения, ФИО и даты рождения всех лиц, проживающих в этом адресе, с указанием степени родства с заявителем. Как вариант – договор аренды жилого помещения, если заявитель не имеет официальной регистрации по месту жительства, а жилье снимает.

7. Квитанция, подтверждающая оплату госпошлины за подачу заявления на алименты.
Это обязательные документы. Их список можно дополнить теми, которые желательны, но заявителю не всегда удается их предоставить.
Список дополнительных документов для подачи на алименты:
- Паспорт супруга (или другого плательщика алиментов), с которого планируется взыскание алиментов, и его ксерокопия. Часто суду достаточно одной ксерокопии без оригинала.
- Справка с указанием места работы должника и размера его заработной платы, или просто сведения об основных и дополнительных источниках его дохода.
- Сведения о месте проживания лица, с которого желаете взыскать алименты.
В этот список нужно будет добавить сведения из полиции о розыске лица, если алименты взыскиваются с того родственника, чье местонахождение не установлено.
Если заявитель желает взыскать алименты с должника также и за прошедший период, то необходимо представить суду расчет долга за всё это время, исходя из постоянного размера заработка должника или среднего размера зарплаты по России.
Документы на алименты для ребенка
Их полный список указан выше. Иногда в случае взыскания алиментов на не достигших совершеннолетия детей для подтверждения определения места проживания ребенка с родителем-заявителем нужно приложить судебное решение об этом.
Если алименты взыскиваются с гражданского супруга, то в суд потребуют принести свидетельство или судебное решение об установлении факта отцовства.
Когда алименты взыскиваются на детей, которые остались без попечения родителей, нужны будут документы, подтверждающие смерть родителей, приказ об установлении опеки.
Семейный кодекс позволяет также получать алименты на свое содержание тем детям, которые уже достигли 18 лет (подробнее об этом читайте с статье — https://divorceinfo.ru/2439-kak-vyplachivayutsya-alimenty-na-obuchenie-posle-18-let ), в двух случаях:
- если они являются нетрудоспособными по причине инвалидности,
- если они продолжают обучение на очной форме (но только до двадцатитрехлетнего возраста).
В первом случае к общему перечню документов на подачу алиментов следует приложить оригинал и копию справки из медицинского учреждения с указанием вида заболевания и даты присвоения группы инвалидности или судебное решение о лишении дееспособности. Во втором случае – справку из учебного заведения с указанием формы обучения, специальности и сведений о получении стипендии.
Документы на алименты для матери в декретном отпуске
Родитель, который находится в декретном отпуске, осуществляет уход за ребенком до трёх лет (почти всегда это матери), имеет право на взыскание алиментов со второго родителя. При условии, что он еще не приступил к работе, не имеет самостоятельного дохода и нуждается в дополнительной финансовой поддержке. Как и в каком размере выплачиваются алименты на содержание жены до 3 лет ребенка, мы рассказываем здесь.
К вышеуказанному списку документов маме нужно приложить справку со своего места работы с указанием, что она находится в отпуске по уходу за маленьким ребенком и заработную плату не получает. Либо предоставить сведения из службы социального обеспечения о том, что мама не имеет постоянного места работы, а также отразить, получает ли она детское пособие и в какой сумме.
Женщина в состоянии беременности также сможет взыскать алименты с мужа или бывшего мужа на свое содержание, если она уже не в состоянии работать и не имеет источника дохода. Для этого нужно представить справку из медицинской организации о сроке беременности с указанием даты постановки на учет в женскую консультацию.
Документы для алиментов на взрослого
Случаи, когда алименты приходится выплачивать на содержание взрослого гражданина, встречаются не часто, не всё же имеют место. Чаще всего не могут себя обеспечить и нуждаются в материальной поддержке со стороны родственников (или других лиц) люди преклонного возраста или не способные зарабатывать из-за состояния здоровья.
Читать еще: Куда жаловаться на судью: квалификация, департамент, президент?
Это могут быть родители, взыскивающие алименты со своих уже взрослых детей, бабушки/дедушки, надеющиеся на материальную помощь от внуков, совершеннолетние дети-инвалиды, воспитатели или приемные родители, которые желают получать алиментные выплаты от своих воспитанников и усыновленных детей.
В качестве документов, подтверждающих неудовлетворительное состояние здоровья, им нужно представить справку из лечебного учреждения, где указаны заболевание и группа инвалидности. Для подтверждения низкого уровня дохода – справку из соцзащиты, пенсионного фонда или службы занятости населения с отметкой о размере ежемесячного пособия, пенсии.
Взыскать алименты получится лишь в том случае, если доход заявителя значительно ниже дохода лица, с которого они взыскивают алименты.
Документы к добровольному соглашению
Если родители (или другие лица) решили заключить на добровольной основе соглашение об уплате алиментов, то обратиться за его составлением и удостоверением им следует в нотариальную контору. С собой нужно принести:
- составленный текст соглашения или его проект,
- паспорта обоих супругов (или других лиц, в зависимости о того, с кого будут удерживаться алименты),
- документы, подтверждающие родство (метрики детей, документ об установлении отцовства, свидетельство о браке/его расторжении и т.д.),
- сведения о доходах (той или другой стороны, в зависимости от ситуации),
- документы, подтверждающие нетрудоспособность (если алименты взыскиваются на взрослого человека).
Нотариус по своему усмотрению сможет затребовать и другие сведения.
Прожиточный минимум для детей по Москве составляет:
7 866 рублей (Постановление Правительства Москвы от 06.12.2011 №573-ПП).
7 825 рублей (Постановление Правительства Москвы от 20.03.2012 №94 ПП).
7 972 рубля (Постановление Правительства Москвы от 05.06.2012 №258-ПП).
Размер алиментов в твердой сумме составит:
За декабрь, январь, февраль 2012 — 7870,72 (7 866*1,0006).
За март, апрель, май — 7829,70 (7825* 1,0006).
За июнь, июль, август — 7976,78 (7 972*1,0006).
Некоторые особенности
Нередко супруги одновременно подают в суд заявление на развод и алименты (бланк вы сможете найти в конце материала). А также могут в нем же указать порядок желаемого раздела имущества или попросить определить, с кем из родителей будет проживать ребенок после развода. Тогда и форма этого заявления и перечень документов расширятся. Как минимум, понадобится не одна квитанция об уплате госпошлины.
При приеме заявления в канцелярии суда с вас потребуют и оригиналы и копии вашего паспорта, свидетельства о регистрации браке, разводе, рождении детей или установлении отцовства, судебных решений, других официальных документов, которые предоставляют определенные права или освобождают от обязанностей.
Оригинальными должны быть: заявления и иски, а также всевозможные справки и иные документы, которые выдаются специально для предъявления в суд в качестве приложения к каждому конкретному заявлению (справки о месте жительства, о месте работы и размере зарплаты и т.д.).
Только в откопированном виде суд сможет принять паспорт лица, на которого направлено взыскание, его трудового договора и т.п.. По причине того, что представить оригиналы этих документов не всегда становится возможным.
Обращайте внимание на даты, проставленные в документах, некоторые из них выдаются на определенный срок и через какое-то время смогут стать недействительными.
В заявлении на алименты обязательно нужно указывать перечень всех документов, которые вы к нему прилагаете с указанием их количества и на скольких листах они расположены. Это способ подстраховаться от утраты того или иного документа.
Какие документы нужны для подачи на алименты

Задайте вопрос юристу бесплатно!

Кратко опишите в форме вашу проблему, юрист БЕСПЛАТНО подготовит ответ и перезвонит в течение 5 минут! Решим любой вопрос!
Все данные будут переданы по защищенному каналу
Заполните форму, и уже через 5 минут с вами свяжется юрист
Алиментные обязательства должны быть оформлены должным образом. В некоторых случаях граждане исполняют их на основании устной договорённости, но такой подход имеет существенные недостатки. При оформлении официального взыскания алиментов потребуется ряд документов, отсутствие которых станет существенной проблемой, тормозящей процесс.

Знание всех нюансов и наличие уверенности в свих силах позволит родителю, с которым проживает и воспитывается ребенок, оперативно получить в его пользу денежное содержание от отца, оставившего семью.
Документы для заключения соглашения
Если супруги смогли договориться самостоятельно о размере алиментных обязательств и порядке их исполнения, они могут скрепить достигнутую договоренность официальным соглашением, зарегистрировав его у нотариуса.
К нотариусу необходимо взять:
- Текст соглашения (или составить его у юриста);
- Паспорта;
- Свидетельства о рождении детей (если один ребенок – то лишь документ на него);
- Сведения о доходах плательщика алиментов.

Последний документ необходим для соблюдения требования закона о том, что сумма алиментов по соглашению не может быть ниже той величины, которая бы причиталась ребенку по закону.
Список документов на алименты в браке
Для возникновения алиментных обязательств не обязательно расторжение брачных отношений. Важны будут иные моменты, в первую очередь — потребность потенциального получателя в дополнительной поддержке и наличие соответствующего права.
Возможно несколько ситуаций, когда алименты будут взыскиваться в браке:
- Взыскание алиментов на несовершеннолетних детей или на совершеннолетних, но нетрудоспособных детей с одного из родителей.
- Взыскание в пользу одного супруга, который воспитывает общего ребёнка возрастом до трёх лет.
- Взыскание в пользу нетрудоспособного супруга.
Каждая ситуация будет иметь свои особенности, но в целом стороны вправе воспользоваться своим правом на получение дополнительной поддержки при соблюдении процедуры. Алименты могут быть назначены либо в судебном порядке, либо посредством заключения нотариально заверенного соглашения. Пакет документации, требуемый для каждого того процесса, будет примерно одинаковым.
ВАЖНО: Ключевое основание для подачи иска о взыскании алиментов в браке – это отсутствие добровольного исполнения обязательств плательщиком алиментов. Данный факт (уклонение от исполнения обязательств) нужно будет подтвердить как в иске, так и в приложенных к нему документах.
При подаче искового заявления на взыскание алиментов потенциальный получатель или его представитель должны предоставить в суд следующие бумаги:
- Исковое заявление в количестве, равном числу сторон.
- Копия документа, удостоверяющего личность. Чаще всего используется паспорт, но в некоторых случаях он по каким-то причинам отсутствует, тогда может быть применён другой документ (например, временное удостоверение личности).
- Свидетельства о рождении детей, если алименты взыскиваются на них.
- Свидетельство о заключении брака.
- Документ, подтверждающий расходы на ребёнка или на иного получателя. Например, квитанции об оплате медицинских услуг.
- Бумаги, подтверждающие состояние здоровья получателя.
- Квитанция об оплате пошлины (кроме случаев взыскания алиментов на детей, поскольку в этом случае плательщик освобождается от уплаты пошлины).
- Документы, которые подтверждают место проживания получателя (например, справка из паспортного стола).

Перечисленные документы могут быть представлены как в копиях, так и в оригинале, но юристы не советуют сдавать оригиналы документов в суд. Возьмите их с собой в судебное заседание, однако не сдавайте с документами при подаче иска. Высокий уровень нагрузки и постоянная текучка кадров в судах могут негативно сказаться на их сохранности.
Рассмотрение документов
При соответствии перечня документов требованиям закона, судья принимает иск к производству. Если же чего-то не хватает, что он:
- Оставит иск без движения;
- Вынесет об этом определение;
- Установит срок для устранения нарушений.
Если все недостатки устранены, иск принимается к производству и рассматривается судом.
Далее, после вынесения решения, стороне нужно получить исполнительный лист и подать его в службу приставов вместе с заявлением о возбуждении производства.

В некоторых случаях взыскание алиментов производится в приказном порядке, то есть с применением особой процедуры, которая не предполагает вызова сторон. В таком случае пакет документации будет таким же, суд должен будет изучить их и без вызова сторон принять решение.
В приказном порядке обязательным приложением к иску будет являться документ об официальной занятости или заработной плате ответчика.
Порядок подачи
В первую очередь стороны могут попытаться заключить соглашение об алиментах, которое обязательно должно быть заверено нотариусом. Для этого потребуются те же документы, но вместо искового заявления составляется текст соглашения (которое может быть составлено и нотариусом).
Если достижение соглашения невозможно, то стороны должны обратиться в суд с исковым заявлением или с заявлением о вынесении приказа (только в том случае, когда взыскиваются алименты на детей и исчисляются в долях от заработка). Перечень документов, которые должны быть приложены в каждом случае, примерно одинаков.
После вынесения решения необходимо получить исполнительный лист (или судебный приказ) и обратиться с ним в службу приставов. Допускается также вариант подачи исполнительного документа по месту работы плательщика, в бухгалтерский отдел, взыскания будут производится сразу с заработной платы.
Список документов на алименты при разводе
Вопрос о взыскании алиментов может быть поставлен параллельно с расторжением брака. Как правило, речь идёт об алиментах на несовершеннолетних детей, а при их наличии расторжение брака возможно только в судебном порядке.
ВАЖНО: При объединении требований о разводе и алиментах, первый вопрос в исковом заявлении будет касаться именно расторжения брака. Истцу нужно будет предоставить текст иска по числу сторон (включая суд), а также свидетельство о браке.
В остальной части пакет документов будет стандартным, как при взыскании алиментов без расторжения брака.
Единственное, нужно представить дополнительно:
- Квитанцию об уплате пошлины при разводе;
- Приложить обоснование причин развода, если таковые имеются.
Стоит учесть, что данная процедура будет невозможна в приказном порядке, даже если планируется взыскание платежей в процентном соотношении от заработка.
Куда подать?
Расторжением брака будет заниматься мировой судья. Дело может быть рассмотрено в городском или районном суде только в случае, если параллельно разрешается вопрос с соответствующей подсудностью.
В районный суд дело уйдет, если:
- Заявлен встречный иск об оспаривании отцовства в ответ на иск об алиментах;
- Заявлен раздел имущества ценою от 50 тыс. рублей на каждого супруга;
- У супругов имеется спор о детях.
Порядок подачи
По общему правилу, иск подаётся по месту жительства ответчика, однако истец может ходатайствовать о рассмотрении дела по его месту жительства, но должен при этом предоставить доказательства, почему такое рассмотрение невозможно в соответствии с правилами подсудности.
Причины для такой подачи:
- ответчик проживает в другом городе, а у истца имеется малолетний ребёнок;
- у истца имеются проблемы со здоровьем, затрудняющие выезд в другую местность.

После вынесения судебного решения, его нужно будет подать в ЗАГС для внесения изменения в акт и выдаче свидетельства о расторжении брака. Параллельно истцу будет выдан исполнительный лист о взыскании алиментов, который подаётся в ФССП или по месту работы ответчика.
Список документов на алименты после развода
Алименты могут взыскиваться и после развода. При этом сторонам нужно учитывать, что взыскание алиментов возможно и за прошедший период, но не более, чем за три года. При этом взыскание за прошлые периоды возможно, если истцом будут представлены явные доказательства попыток получения денежного содержания на ребенка с ответчика за все это время.
Для взыскания алиментов после развода потребуется тот же список документов, что и в остальных случаях.
- свидетельство о расторжении брака;
- копия решение суда о расторжении, которое было вынесено ранее (в особенности, если параллельно решался вопрос об определении места жительства ребёнка).
Ответчик при этом сможет также пытаться обосновывать свою позицию. Он вправе просить суд об уменьшении размера алиментных платежей при наличии некоторых обстоятельств (например, наличия у него других иждивенцев или состояние здоровья, требующее дополнительных расходов).
При этом он должен будет предоставить документальные обоснования своей позиции и доводов, высказанных против заявленной суммы алиментов.
Подача документов осуществляется по стандартным правилам, оговоренным ст. 131-132 ГПК РФ и аналогична порядку подачи алиментов в любом другом случае. Сдать готовый пакет документов можно как лично, так и через почтовую службу заказным письмом.
ВАЖНО: Во всех перечисленных выше случаях также имеется возможность подачи иска через портал «Госуслуги», однако указанный механизм пока еще не доработан и для направления документов в суд требует наличия квалифицированной электронной подписи.
Как и в случае подачи иска при разводе, суд, проверив документы, принимает их к производству. После получения исполнительного документа (листа или приказа) получатель подаёт его вместе с заявлением в службу приставов по месту жительства должника или по месту его работы.
Размер алиментов и его обоснование
Размер алиментных обязательств устанавливается либо по соглашению сторон, либо в судебном порядке. Суд будет исходить из потребности потенциального получателя и возможностей плательщика, который вправе ходатайствовать об уменьшении требуемого размера выплат.
- В твердой денежной сумме;
- В части прожиточного минимума;
- В процентном (долевом) соотношении от всех видов официального дохода плательщика.
Документально необходимо обосновать любое требование о взыскании алиментов:
- Если алименты взыскиваются на 1 ребёнка, то их размер в процентах будет составлять 25% от заработка плательщика на одного, треть от дохода — на двоих и половина — на трёх и более.
- Если они взыскиваются в фиксированном размере, то будут привязаны к прожиточному минимуму по месту жительства ребёнка (суд может установить половину такой величины, две и любое другое значение, в зависимости от обстоятельств).
При взыскании алиментов в остальных случаях, размер определяется судом или соглашением и может составлять иные величины.
Нужен юрист
Взыскание алиментов требует соблюдения установленного законодателем процесса, где каждый этап имеет свои требования. Процесс может показаться сложным, запутанным и не всегда понятным на первый взгляд.

Не важно, в пользу кого будут взыскиваться алименты: это могут быть дети, нетрудоспособный супруг или даже нетрудоспособные родители. В любом случае процесс требует особого внимания к деталям и доказательствам, вследствие чего лучше воспользоваться консультацией профессионального юриста, желательно с наличием соответствующего опыта.

- В связи с постоянным изменением законодательства, подзаконных актов и судебной практики, порой мы не успеваем обновлять информацию на сайте
- Ваша юридическая проблема в 90% случаев индивидуальна, поэтому самостоятельная защита прав и базовые варианты решения ситуации зачастую могут не подходить и приведут лишь к усложнению процесса!
Поэтому обратитесь к нашему юристу за БЕСПЛАТНОЙ консультацией прямо сейчас и избавьтесь от проблем в дальнейшем!

Задайте вопрос эксперту-юристу бесплатно!

Задайте юридический вопрос и получите бесплатную
консультацию. Мы подготовим ответ в течение 5 минут!
Все данные будут переданы по защищенному каналу
Заполните форму, и уже через 5 минут с вами свяжется юрист
