Получение кадастрового плана территории Росреестра

Здравствуйте уважаемые читатели и гости моего блога. С Вами Александр Фадеев. В этой статье речь пойдет о возможности получения сведений из единого государственного реестра (ранее — кадастра) недвижимости в электронной форме. В качестве примера запроса и получения сведений об объекте недвижимости в органах кадастрового учета рассматривается получение кадастрового плана территории кадастрового квартала (КПТ).
Порядок оформления электронной заявки на получение кадастрового плана территории
Заполнение запроса на получение кадастровой выписки Росреестра выполняется в электронной форме в 3 шага в новой форме запроса «Получить кадастровый план территории из ЕГРН» на интернет-портале Росреестра. В нашем случае рассматриваем запрос от физического лица.
Шаг 1. Выбор сведений Единого государственного реестра недвижимости. В первой строке раздела «Прошу предоставить:», в поле «Кадастровый номер» этого раздела вводим номер кадастрового квартала — номер округа (два знака) : номер кадастрового района (два знака) : номер квартала (от 5 до 9 знаков)).

Во втором поле «Ориентиры территории» пишем весь квартал. В разделе «Форма представления и способ получения сведений» лучше оставить в строке «В виде» — Ссылки на электронный документ, а в поле «Адрес электронной почты» прописываем адрес Вашего E-mail и вводим текст с картинки (капчи) в соответствующее поле. После чего нажимаем кнопку «Перейти к сведениям о заявителе».
Шаг 2. Внесение сведений о заявителе или его представителе. В первом поле «Вид заявителя» оставляем (выбираем) — Физическое лицо, во втором поле «Категория заявителя» – Иное лицо. В следующих полях соответственно вводим Ваши Фамилию и Имя, номер паспорта и его дату выдачи. Устанавливаем галочку «Я согласен на передачу персональных данных в Росреестр» и нажимаем кнопку «Перейти к проверке данных».

Примечательно что Ваши паспортные данные система не проверяет, просто идет проверка адекватности заполнения формы запроса сведений и обязательных полей. Но, рекомендую вводить реальные данные.
Шаг 3. Проверка введенных сведений. Проверьте Ваши данные – адрес электронной почты, паспортные данные. Если все с ними в порядке, нажмите кнопку «Отправить запрос».

При удачном проходе запроса будет выведена на экран форма, в которой указаны номер запроса и код доступа к ссылке для скачивания электронной выписки, доступ к которой будет открыт после выполнения работы по данной заявке. Обязательно запомните их!

Оплата получения кадастровой выписки от Росреестра
В первом письме от Росреестра номер запроса и код доступа к ссылке будут продублированы, а так же будет выведен номер кода платежа и ссылка для перехода к оплате, которая является ссылкой на проверку статуса запроса. Пройдя по которой и введя номер запроса и капчи, в следующей форме необходимо в щелкнуть на ссылку «указать код платежа» и нажать кнопку «Перейти к оплате», внизу данной формы появится список расчетных организаций работающие с Росреестром.

На момент изменения статьи оплату можно производить несколькими способами:
1) КИВИ Банк – это такие возможности, как QIWI Кошелек, терминалы оплаты КИВИ, карты оплаты данной платежной системы;
2) Уральский банк реконструкции и развития;
3) Оплата госуслуг;
4) Банк Платина;
5) Банк «Таврический» посредством оплаты картами и со счета мобильного телефона.
После оплаты запроса на Ваш почтовый ящик придет письмо о том, что заявка «Принята в работу». После выполнения заявки Росреестром придет третье письмо, в котором будет сообщение о том, что в ходе обработки вашей заявки получен документ. Для его скачивания переходите по прилагаемой ссылке и вводите код доступа приведенный в письме.

Оплата заявки за электронную выписку через КИВИ-кошелек
При оплате через «QIWI-кошелек» выполняем необходимые инструкции. Вводим номер кошелька, введя номер своего телефона (номер кошелька привязан к номеру телефона), ФИО, ставим галочку что согласны с условиями оферты и нажимаем на кнопку «Далее». Будет выставлен счет в Вашем Qiwi-кошельке. Переходим на сайт Qiwi, вводим свой логин и пароль. В результате в окне «Оплатить» QIWI-кошелька отобразится выставленный счет, который в нашем случае составляет сумму 300 рублей, комиссия 0 процентов на период действия акции QIWI «Оплата госуслуг без комиссии».
Далее нажмите кнопку «Оплатить». Затем сверяете информацию в итоговых сведениях и выбираете кнопку «Подтвердить». На телефон придет SMS-сообщение с одноразовым кодом для подтверждения оплаты, введя который Вы опять нажимаете кнопку «Подтвердить» произведя оплату выполнения Вашего запроса на получение выписки Росреестра. На следующий день до 12:00 на Ваш почтовый ящик придет сообщение о принятии вашей заявки в работу и указанием планируемой даты окончания обработки Вашей заявки.
Оплата заявки за электронную выписку через Госуслуги
При оплате через Госуслуги выполняем необходимые инструкции. Вводим ФИО, выбираем регион, вводим адрес и нажимаем кнопку «Перейти к оплате». ставим галочку что согласны с условиями оферты и нажимаем на кнопку «Далее». На следующем шаге Вы должны подтвердить данные платежа, в котором указаны реквизиты организации и сумма платежа в 300 или 335 рублей (при заказе банковской квитанции). Принимаем условия оферты и нажимаем на кнопку «Да, все верно».
В следующем окне выбираем способ оплаты. Минимальный процент за выполнение оплат через банковскую карту, который составляет 2,3%. В следующем окне вводим данные карты и оплачиваем услугу, которая при предлагаемом виде оплаты составит 306 рублей 90 копеек.
Получение электронной кадастровой выписки Росреестра
Отслеживание ситуации с Вашим запросом необходимо производит на странице «Проверка статуса запроса». Вводите номер заявки и нажимаете кнопку «Проверить». После проведения работ по Вашей заявке. Как правило на Ваш ящик придет уведомление о получение документа и возможности его скачивания по ссылке с последующим вводом ключа скачивания.
В итоге на странице проверки статуса запросов появится строка для ввода ключа доступа и кнопка для скачивания «Получить файл». Кадастровая выписка скачивается в виде архива, в который входят следующие файлы:
1) xml-файл – электронный документ, заверенный электронной цифровой подписью уполномоченного должностного лица органа кадастрового учета (юридически-значимый);
2) sig-файл (xml.sig) – файл электронной цифровой подписи уполномоченного должностного лица органа кадастрового учета, которой подписан xml-файл;
На основе данных файлов можно получить печатную версию кадастрового плана территории загрузив данные файлы в сервис «Проверка электронного документа». В данном сервисе подключаете эти файлы и нажимаете кнопку «Проверить». Через некоторое время появится ссылка «Показать в человекочитаемом формате» на документ:
3) html–файл – печатное представление данных в виде заполненных форм кадастрового плана территории (КПТ.1, КПТ.2.1, КПТ.2.2, КПТ.2.3, КПТ.2.4, КПТ.3, КПТ.4 и КПТ.5).
Эксперимент по получению электронного кадастрового плана территории
В качестве эксперимента был выбран наиболее неудачный день недели, это пятница. Отправка заявки и оплата стоимости электронного кадастрового плана территории была произведена соответственно 13 (вечер) и 14 (утро) ноября 2014 года. Таким образом, переход на следующий этап по обработке данной заявки произойдет только в понедельник. Но в результате оплата дошла только 18 ноября (вторник) в 11:43:31, а вот сама обработка была очень оперативно выполнена уже к 11:52:29, то есть буквально за 9 минут. Мой респект кадастровой палате Республики Марий Эл.

Что представляет из себя кадастровый план территории можно почитать в статье «Кадастровый план территории».
Кадастровый план территории (КПТ): что это, где заказать и получать, образец схемы
Содержание
Что такое кадастровый план территории (КПТ)?
Кадастровый план территории (КПТ) – это план всех земель, расположенных в одном кадастровом квартале. Существует единая форма подготовки таких документов. Информация берется из реестра и картографических источников. Собственнику земли он потребоваться не может, так как его используют кадастровые инженеры для подготовки другой техдокументации на участок. Основное отличие КПТ от других видов выписок из ЕГРН в том, что он содержит в себе сведения обо всех объектах, которые находятся в определенных границах.
Когда и зачем нужен КПТ
Понадобиться документ может во многих случаях, например:
- Подготовка межевого, техплана на ЗУ, схем и других кадастровых работ
- Внесение сведений или изменений в кадастр.
- Для проектирования работ
- Для различных геодезических работ
Где получать?
Документ можно заказать на бумажном носителе или в виде файла для скачивания, заверенного ЭЦП. Юридическая сила обоих форматов одинакова, но электронный удобнее для работы. Дело в том, что документ характеризует крупные территориальные единицы и в бумажном виде план очень объемный. В электронном формате его можно масштабировать.
Заказать кадастровый план территории можно двумя способами:
- Через МФЦ
- На сайте Росреестра.
В МФЦ можно получить бумажный документ, но так как он неудобен для работы, чаще его получают в электронной форме через сайт Росреестра или другие порталы.
На сайте Росреестра
Заказать КПТ на сайте может любой человек. Заявка будет принята в работу сразу после того, как вы оплатите услугу. Подтверждение придет на указанную вами почту. После того, как кадастровый план будет подготовлен, вам придет уведомление. Для того чтобы скачать документ, нужно перейти по ссылке, полученной во время оформления заявки, и ввести код. Обычно электронная версия подготавливается быстро, но вы в любой момент можете узнать статус вашей заявки в личном кабинете в разделе «Проверка исполнения запроса».
Видео: как заказать кадастровый план территории в Росреестре онлайн
Можете ознакомиться с видео инструкцией получения на сайте Росреестра ниже. В случае, если вам понадобятся другие геодезические услуги — обращайтесь, с радостью поможем!
Сроки действия выписки
Кадастровый план территории не имеет срока действия. Он актуален до тех пор, пока в реестр не будет внесено никаких изменений. Мы не рекомендуем заказывать его заранее, так как может оказаться, что за это время в реестр будут внесены новые данные, появятся новые объекты и информация станет неактуальной.
Необходимые документы
Никакого специального пакета документов собирать не нужно. Достаточно указать в заявке номер своего паспорта.
Содержание документа: текстовая и графическая часть
Кадастровый план территории содержит в себе большой объем разных данных. Информация содержится в текстовом и графическом виде. Текстовая часть подробно описывает все объекты, графическая – дает наглядное представление в виде чертежей и схем.
Читать еще: Возврат госпошлины в арбитражном судопроизводстве: основания, образец заявления, сроки
Эти данные облегчают проведение кадастровых работ и подготовке технической документации на отдельный ЗУ. Часть можно найти на публичной карте, но только этих данных для работы недостаточно. КПТ дает важные сведения о границах и характеристиках земель, расположенных рядом с исследуемым ЗУ. Его использование позволяет избежать ошибок, наложений границ.
Формы документа
Форма утверждена законодательно и состоит из пяти частей КПТ.1-КПТ.5. Каждая содержит в себе разную информацию:
КПТ-1.1. Содержит кадастровый номер и данные о площади квартала. Здесь же указана информация о составе документа (количество листов или имена файлов, в зависимости от того, на каком носителе оформлен документ). Этот раздел включает еще и общие данные о ЗУ, расположенных на территории квартала: кадастровый номер, площадь, адрес, категория и вид разрешенного использования земель, их кадастровая стоимость.
КПТ-1.2. Включает в себя информацию об объектах капитального строительства (в том числе недостроенных), расположенных в пределах квартала. О каждом объекте указывается общая информация – вид, кадастровый номер, назначение, адрес, основные характеристики, их значение для ОКС и единицы измерения.
КПТ-2.1. В этом разделе в графическом формате отображаются земельные участки, ОКС, незавершенное строительство. Основа для плана – информация из ЕГРН о границах земельных участков. Капитальные объекты отображают по данным о координатах их контуров. Для идентификации отдельных объектов используется кадастровый номер или номер в пределах квартала. Может использоваться и порядковый номер, под которым объект указан в разделе КПТ-1.1.
КПТ-2.2. Заполняется, если через кадастровый квартал проходят границы населенных пунктов, муниципальных образований. Данные из ЕГРН.
КПТ-2.3. В этом подразделе отображены территории с особыми условиями использования. Границы отображают на основе данных о координатах, содержащихся в кадастре.
КПТ-2.4. План территориальных зон, расположенных в пределах квартала.
КПТ-3.1. Описание границ ЗУ с координатами. Координаты округляются до 0,01 м. Если характерные точки границ закреплены межевыми знаками, в подраздел включается их описание и средняя квадратическая погрешность (точность определения положения межевого знака).
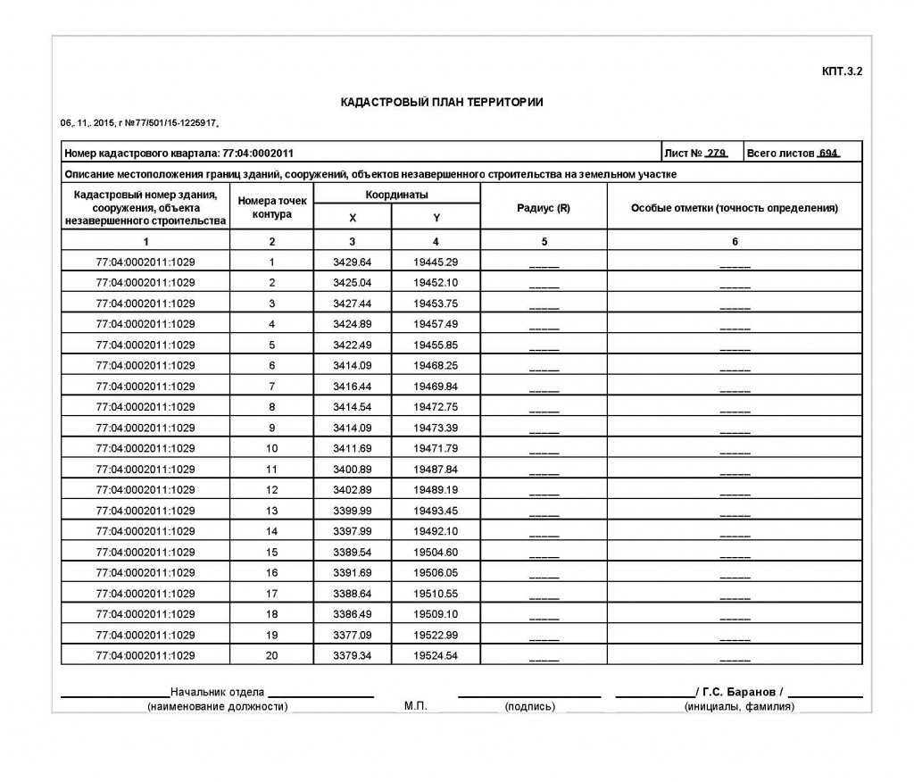
КПТ-3.2. Описание границ объектов капитального строительства, в том числе незавершенного.
КПТ-4. Общая информация и местоположение границ землеустроительных объектов. В общей информации указывают их вид и наименование, единицы кадастрового деления, данные о решениях, на основании которых устанавливались или изменялись границы таких объектов. Для зон с особыми условиями использования указывают сферу ограничений.
КПТ-5. Информация об опорной межевой сети: тип, номер, класс пункта ОМС, их координаты (X, Y).
Не всегда КПТ содержит все разделы. В зависимости от того, с какой целью требуется кадастровый план территорий. Например, если план запрашивают с целью получить информацию об опорной межевой сети, в него войдет всего два раздела – КПТ-1 и КПТ-5. Оформляют документ по тем же правилам, что и кадастровый паспорт участка. План в электронном формате заверяют электронной цифровой подписью.
Возможен ли отказ?
Документ строится на основе открытой информации, поэтому получить его просто. Отказ может быть только в одном случае – ошибки, допущенные в заявке. Но в этом случае достаточно их исправить, чтобы получить документ.
Кадастровый план территории — что это и где заказать?
Кадастровый план территории (КПТ) — документ, составленный на основе картографических данных, сведений из реестров и необходимый к получению при проведении различных землеустроительных работ. На сегодняшний день этот документ можно заказать онлайн.
Какие сведения содержит кадастровый план территории?
С момента вступления в силу Земельного кодекса РФ порядок выделения земельных участков несколько усложнился, поскольку информация о каждом недвижимом объекте подлежит обязательному внесению в государственный реестр, а это требует установление четких границ надела и его координат.
Получить кадастровый план территории земельного участка по адресу или кадастровому номеру квартала можно в виде официальной справки из Росреестра. В этом документе будут отражено расположение обусловленного надела и других соседних ЗУ относительно кадастрового квартала в текстовом и графическом виде ( образец).
Лица, которым нужен кадастровый план территории могут получить его через Росреестр, запросив обычную или расширенную выписку из ЕГРН, содержащую элементы КП.
Кадастровый план территории предоставляет сведения как в графическом, так и текстовом виде. Графическое изображение наглядно объясняет расположение объекта на местности, отражает все существующие границы, смежные участки, строения, другие условные обозначения.
На практике необходимость получения КПТ возникает не редко, поскольку причинами тому служат следующие обстоятельства:
- проведение проектных и изыскательских работ;
- осуществление геодезических мероприятий;
- внесение новых или корректировка существующих в реестре сведений;
- подготовка схемы расположения земельного участка на кадастровом плане;
- составление межевого плана;
- подготовка технического плана на земельный участок;
- проведение других работ, для которых обязательно наличие КПТ.
Где можно получить кадастровый план территории?
Получить кадастровый план территории проще всего путем отправки запроса на формирование выписки из ЕГРН (справочная Росреестра), поскольку указанный документ будет содержать все необходимые элементы КП, а его подготовка в формате xml займет от нескольких минут до нескольких часов.
Существует несколько способов получения КП:
- В зависимости от вида документа:
- электронный (более дешевый и быстрый вариант) или бумажный (формируется около 10 рабочих дней; может быть очень объемным, если в запросе фигурируют крупные территориальные единицы);
- отдельный документ (непосредственно КПТ с указанием координатных точек) или в виде приложения, содержащегося в выписке ЕГРН.
- В зависимости от органа, полномочного выдавать документ:
- через основной регистрирующий орган — Росреестр;
- через МФЦ.
- В зависимости от способа обращения:
- при личной явке в учреждение;
- дистанционно (онлайн).
Получить сведения об объекте недвижимости в режиме онлайн для ознакомления с КП совершенно беспрепятственно может любой желающий, при условии предоставления в запросе корректной информации о себе и оплате установленного за услугу сбора.
Как заказать кадастровый план территории онлайн?
Увидеть и заказать схему расположения одного или нескольких земельных участков на кадастровом плане территории в режиме онлайн можно по ниже представленному алгоритму:
- Для начала необходимо узнать номер кадастрового квартала, к которому принадлежит участок (для примера возьмем 46:29:102219).
- В эту форму поиска начните вводить данные (адрес или кадастровый номер объекта недвижимости) и выберите из выпадающего списка подходящее значение:

После заказа выписки из ЕГРН, представленные в ней сведения (в том числе и данные о кадастровом плане территории) считаются актуальными на протяжении 1 месяца.
Образец документа — как выглядит?
Образец кадастрового плана территории имеет унифицированный вид и графически отражает все объекты, присутствующие в границах испрашиваемой территории.

Текстовая часть документа описывает следующие характеристики:
- границы и площадь ЗУ на pkk5.rosreestr.ru;
- местоположение на территории;
- идентификационный номер;
- данные о фактически занимаемой участком площади и располагающихся рядом с ним наделов;
- действующий в отношении объекта вид права;
- государственный орган, проводивший регистрацию.
Однако, полнота сведений зависит от выбранной формы документа, которая варьируется по таким категориям, как КПТ:
- 1 – раскрывает основную информацию о земельных участках, попадающих в установленный квартал: присвоенные номера; площадь участков и самого квартала; адрес; разрешенный вид использования надела; информация о кадастровой стоимости объектов;
- 2 – содержит данные о располагающихся в границах квартала капитальных сооружениях, в том числе тех, что признаны объектами незавершенного строительства и идентифицирующей их информации: общие характеристики; вид использования; присвоенный адрес; номер и прочее;
- 1 – раздел, отображающий информацию в графическом виде. Источником формирования плана выступает ЕГРН, в котором представлена информация о границах земельных наделов ;

- 2 – отражает границы муниципальных образований (населенных пунктов), попадающих на запрашиваемый квартал;
- 3 – для территорий, в отношении которых действует особый режим использования;
- 4 – информирует об особых территориальных зонах, располагающихся на испрашиваемом кадастровом квартале;
- 1 – описывает основные координаты земельного надела;
- 2 – описывает границы объектов капитального строительства, в том числе и незавершенного;
- 4 – информация о землеустроительных объектах;
- 5 –основная информация о межевой сети.
Ориентиры территории кадастрового квартала что это
Для обычных собственников или арендаторов недвижимости или земельных участков он не представляет никакой ценности, так как сам по себе он нигде не пригодится. Этот документ может использоваться при кадастровых работах. Поэтому в большинстве случаев его заказывают кадастровые инженеры в процессе межевания или подготовки техплана . Подробнее о кадастровом плане территории читайте далее.
Оглавление:
Что это за документ?
Кадастровый план территории является выпиской из ГКН, которая содержит определенные данные о земельных участках и объектах недвижимости в пределах кадастрового квартала.
По сути графическую и некоторую текстовую часть КПТ дублирует публичная кадастровая карта . Но основных данных- координат, в ней нет.
Для чего он нужен?
Как уже говорилось выше- это необходимый документ для подготовки межевого и технического планов и схемы расположения земельного участка на кадастровом плане . Кадастровым инженерам он предоставляет исчерпывающую информацию о кадастровых границах, смежных с оформляемым объектом. Это позволяет однозначно определить местоположение исследуемого объекта недвижимости и наличие наложений или других кадастровых ошибок.
Соответственно срок «годности» этого документа весьма невелик- ведь даже сразу после его получения на кадастр может «встать» какой-нибудь объект в данном кадастровом квартале. И полученный КПТ уже не будет актуален в полной мере.
Где и в каком виде его можно получить?
КПТ можно заказать в бумажном или электронном виде.
И в том и в другом виде КПТ имеет одинаковую юридическую силу. На бумажном носителе должна присутствовать печать и подпись должностного лица, подготовившего его. Электронный вид должен иметь файл с электронной подписью должностного лица (с расширением .sig).
1. В бумажном он заказывается в ближайшем отделении кадастровой палаты (для Подмосковья) или в МФЦ (в Москве). Обычно это большой документ и его редко заказывают в бумажном виде. Гораздо удобнее работать с ним электронно. Тем более, что сроки подготовки и стоимость бумажной версии в разы больше электронной.
2. В электронном- на официальном сайте Росреестра в разделе «Государственные услуги».
3. Наши кадастровые инженеры также могут заказать для Вас КПТ в электронном виде. Стоимость 1 КПТ 500 рублей. Срок получения до 15 рабочих дней. Но это максимальный срок- обычно около 7 дней (все зависит от расторопности органов кадастрового учета). Для ознакомления можно скачать пример КПТ в том виде, в котором он подготавливается специалистами Росреестра. Часто самостоятельно непросто преобразовать то что выдали в электронном виде в человекочитаемый формат. Чтобы получить нормальный документ нужно прогнать его через программу и получить следующее .
Как выглядит кадастровый план территории?
Обычно КПТ состоит из форм КПТ.1-КПТ.5. Ниже вкратце об этих разделах.

КПТ 1.1 иКПТ1.2 содержат данные на земельные участки и объекты капитального строительства (ОКСы) соответственно. Здесь указываются кадастровые номера, адрес, категория земель, разрешенное использование, площадь и кадастровая стоимость всех объектов, находящихся в квартале.


КПТ.2.1-КПТ.2.4 содержат план (чертеж) границ кадастрового квартала, земельных участков, ОКСов и линейных сооружений с охранными полосами землеотвода. Причем при открытии xml. документа (если есть интернет-связь) эти планы можно масштабировать. В печатном виде это скорее всего будет выглядеть как мешанина линий и надписей, в которой вряд ли можно разобраться.


КПТ.3.1-КПТ3.3 содержат интересующие кадастровых инженеров координаты границ земельных участков и ОКСов, их закрепление межевыми знаками (временное, капитальное или его отсутствие) и точность определения межевых знаков (с которой кадастровые инженеры вычислили их координаты).


КПТ.4 содержит координаты кадастрового квартала и границ охранных зон линейных сооружений. Отдельно границы охранных зон линейных сооружений выделены из-за того, что чаще всего они проходят по нескольким кадастровым кварталам и их границы не замкнуты. Также здесь указываются какие ограничения накладываются в пределах охранных зон. Это часто бывает важно для владельцев земельных участков, по которым проходят какие-нибудь коммуникации. Возможно из-за наличия ограничений невозможно будет возвести капитальные строения или проложить подземные коммуникации.
Специалисты компании ООО «Землемер» могут заказать для Вас КПТ земельного участка для любых целей. Стоимость 1 плана 500р. Заказывается электронно. Звоните 8 903-253-35-84.
Ориентиры территории кадастрового квартала что это
Для обычных собственников или арендаторов недвижимости или земельных участков он не представляет никакой ценности, так как сам по себе он нигде не пригодится. Этот документ может использоваться при кадастровых работах. Поэтому в большинстве случаев его заказывают кадастровые инженеры в процессе межевания или подготовки техплана . Подробнее о кадастровом плане территории читайте далее.
Оглавление:
Что это за документ?
Кадастровый план территории является выпиской из ГКН, которая содержит определенные данные о земельных участках и объектах недвижимости в пределах кадастрового квартала.
По сути графическую и некоторую текстовую часть КПТ дублирует публичная кадастровая карта . Но основных данных- координат, в ней нет.
Для чего он нужен?
Как уже говорилось выше- это необходимый документ для подготовки межевого и технического планов и схемы расположения земельного участка на кадастровом плане . Кадастровым инженерам он предоставляет исчерпывающую информацию о кадастровых границах, смежных с оформляемым объектом. Это позволяет однозначно определить местоположение исследуемого объекта недвижимости и наличие наложений или других кадастровых ошибок.
Соответственно срок «годности» этого документа весьма невелик- ведь даже сразу после его получения на кадастр может «встать» какой-нибудь объект в данном кадастровом квартале. И полученный КПТ уже не будет актуален в полной мере.
Где и в каком виде его можно получить?
КПТ можно заказать в бумажном или электронном виде.
И в том и в другом виде КПТ имеет одинаковую юридическую силу. На бумажном носителе должна присутствовать печать и подпись должностного лица, подготовившего его. Электронный вид должен иметь файл с электронной подписью должностного лица (с расширением .sig).
1. В бумажном он заказывается в ближайшем отделении кадастровой палаты (для Подмосковья) или в МФЦ (в Москве). Обычно это большой документ и его редко заказывают в бумажном виде. Гораздо удобнее работать с ним электронно. Тем более, что сроки подготовки и стоимость бумажной версии в разы больше электронной.
2. В электронном- на официальном сайте Росреестра в разделе «Государственные услуги».
3. Наши кадастровые инженеры также могут заказать для Вас КПТ в электронном виде. Стоимость 1 КПТ 500 рублей. Срок получения до 15 рабочих дней. Но это максимальный срок- обычно около 7 дней (все зависит от расторопности органов кадастрового учета). Для ознакомления можно скачать пример КПТ в том виде, в котором он подготавливается специалистами Росреестра. Часто самостоятельно непросто преобразовать то что выдали в электронном виде в человекочитаемый формат. Чтобы получить нормальный документ нужно прогнать его через программу и получить следующее .
Как выглядит кадастровый план территории?
Обычно КПТ состоит из форм КПТ.1-КПТ.5. Ниже вкратце об этих разделах.

КПТ 1.1 иКПТ1.2 содержат данные на земельные участки и объекты капитального строительства (ОКСы) соответственно. Здесь указываются кадастровые номера, адрес, категория земель, разрешенное использование, площадь и кадастровая стоимость всех объектов, находящихся в квартале.


КПТ.2.1-КПТ.2.4 содержат план (чертеж) границ кадастрового квартала, земельных участков, ОКСов и линейных сооружений с охранными полосами землеотвода. Причем при открытии xml. документа (если есть интернет-связь) эти планы можно масштабировать. В печатном виде это скорее всего будет выглядеть как мешанина линий и надписей, в которой вряд ли можно разобраться.


КПТ.3.1-КПТ3.3 содержат интересующие кадастровых инженеров координаты границ земельных участков и ОКСов, их закрепление межевыми знаками (временное, капитальное или его отсутствие) и точность определения межевых знаков (с которой кадастровые инженеры вычислили их координаты).


КПТ.4 содержит координаты кадастрового квартала и границ охранных зон линейных сооружений. Отдельно границы охранных зон линейных сооружений выделены из-за того, что чаще всего они проходят по нескольким кадастровым кварталам и их границы не замкнуты. Также здесь указываются какие ограничения накладываются в пределах охранных зон. Это часто бывает важно для владельцев земельных участков, по которым проходят какие-нибудь коммуникации. Возможно из-за наличия ограничений невозможно будет возвести капитальные строения или проложить подземные коммуникации.
Специалисты компании ООО «Землемер» могут заказать для Вас КПТ земельного участка для любых целей. Стоимость 1 плана 500р. Заказывается электронно. Звоните 8 903-253-35-84.
Как заказать онлайн через Росреестр кадастровый план территории земельного участка в электронном виде?
Сегодня все большую популярность обретает получение кадастрового плана территории с помощью интернет-ресурсов. Это экономит время и значительно упрощает процесс.
В этой статье мы детально рассмотрим, в чем состоят особенности такой процедуры: каковы условия получения кадастрового плана, как это сделать через официальный сайт Росреестра и к каким сторонним организациям можно обратиться. Из нее вы узнайте как получить КПТ в электронном и бумажном виде.
Дорогие читатели! Наши статьи рассказывают о типовых способах решения юридических вопросов, но каждый случай носит уникальный характер.
Если вы хотите узнать, как решить именно Вашу проблему — обращайтесь в форму онлайн-консультанта справа или звоните по телефону +7 (499) 938-46-18 . Это быстро и бесплатно !
Основания для оформления
Основаниями для оформления документа являются:
- Надобность осуществлять распоряжение над владением:
- подарить;
- продать;
- завещать.
Условия получения
Данную бумагу может получить только владелец земельного надела. К примеру, если вами участок арендуется, то получить ее не удастся.
Также существуют и другие условия получения:
- наличие актуального и соответствующего правилам межевого плана;
- полный пакет бумаг, если обращаетесь в МФЦ или территориальный орган;
- правильно указанные данные на сайте Росреестра при онлайн получении;
- оплата государственной пошлины.
Как получить документ для земельного надела?
План выдается вместе с кадастровым паспортом. Т.е вы обращаетесь не за кадастровым планом, а за кадастровым паспортом, который включает в себя кадастровый план.
Все это действительно, только если происходит первичная постановка на учет. Если вы хотите получить план и у вас есть кадастровый паспорт, то процедура происходит немного по-другому.
Подробнее о том, как и где можно получить кадастровый план, читайте в этой статье.
Если территории нет на учете
В электронном виде через Росреестр
Рассмотрим, как заказать план территории через специальный сайт:
- Заходим на основную страницу Росреестра.
- Там сверху расположено три ссылки: для юридических, физических лиц и специалистов.
- Выбираем нужную нам категорию.
- Справа будет колонка «Электронные сервисы». Выбираем «Получение сведений из ЕГРН».
- Попадаем на «Форма запроса сведений из ЕГРН». Это и будет нужная нам страница.
- Заполняем все требуемые графы:
- тип объекта указываем «Земельный участок»;
- если у надела есть условный либо кадастровый номер, то вводим его;
- далее вписываем детальное месторасположение: адрес, район, населенный пункт, улица и пр.
После всех заполнений переходим к «Способ предоставления сведений». Документ можно получить в виде электронного документа, бумажного по почте либо в МФЦ.- ФИО;
- паспортные данные;
- телефон;
- электронный адрес;
- вид лица (физическое, юридическое).
- номер заявления (в формате 45-2222222);
- код платежа;
- код в конце письма (в формате Х6589).
На этой странице введите платежный код из электронного письма. Далее вы перейдёте на страницу оплаты, где нужно выбрать подходящий способ для оплаты услуги. Там представлены такие варианты как: платёжный терминал, банковская карта, QIWI-кошелек.
О том, как на сайте Росреестра проверить план участка по кадастровому номеру, после его получения, можно узнать здесь, а как выглядит кадастровый план можно посмотреть тут.
Через сторонние компании
Цена на услугу получения кадастрового паспорта, включающего в себя кадастровый план (так как мы рассматриваем случай постановки надела на учет) может отличаться в зависимости от выбранной компании.
В среднем это обойдется от 4 до 8 тысяч. Давайте сравним с самостоятельным получением, которое происходит практически бесплатно.
Вами оплачивается только государственная пошлина в размере 50 рублей, если вы физлицо и 300, если юрлицо.
Делаем вывод, что стоимость в 4-8 тыс. руб. достаточно завышена. Но здесь особенность в том, что вы оплачиваете не саму услугу, а свое удобство. Не нужно будет разбираться во всем самостоятельно, так как посредник сделает все «под ключ». Оплачивая услуги сторонних лиц вы получаете такой набор услуг как подготовка нужных бумаг, обращение в Росреестр и пр.
Если земля стоит на учете
Часто бывает что кадастровый паспорт (выписка из ЕГРН) есть и нужен именно кадастровый план.
На сайте Росреестра
Рассмотрим его получение на Росреестре:
- Заходите на сайт Росреестра, у вас откроется главная страница сайта.
Там будет три раздела: для физических лиц, для юридических лиц и специалистам. Вы выбираете раздел юридического либо физического лица (в зависимости к какой из категории принадлежите).
У вас откроется страница, на которой будет колонка «Электронные сервисы».
Вы нажимаете на самую первую «Получение сведений из ЕГРН» и сразу откроется форма для заполнения.
Справа будет находиться раздел «Государственные услуги» вы выбираете 6 пункт по счету «Получить кадастровый план из территории ЕГРН».- номер заявления (в формате 11-1234567);
- код платежа;
- код в конце письма (в формате Х1954).
Далее переходите на страницу оплаты, где нужно выбрать подходящий способ. Там представлены такие варианты как: платёжный терминал, банковская карта, QIWI-кошелек.
С помощью посредников
Услуга получения кадастрового плана без паспорта значительно дешевле. Здесь стоимость услуг колеблется от 500 до 2000 рублей. Все зависит от выбранной компании, региона, формы выписки, сроков изготовления документа.
Другие варианты
Если по каким-либо причинам вышеописанные варианты вам не подходят, можно воспользоваться еще одним сервисом.
Он носит название Публичная кадастровая карта. Это бесплатный ресурс (т.е не нужно уплачивать даже государственную пошлину).
Поиск можно осуществлять по кадастровому номеру, а также по адресу. Метод подойдет только если нужна краткая информация (о том, как получить информацию о кадастровом плане онлайн по адресу, вы узнаете тут).
Публичная карта сможет предоставить такие сведения: кадастровая стоимость, общая площадь, дата постановки на учет, а также дата изменения сведений в ЕГРН, уточненная площадь территории.
- Что такое межевой план и чем отличается от кадастрового?
- Для чего нужна схема расположения участка и что обозначают красные линии на кадастровом плане?
Заключение
Теперь вы полностью ознакомлены с алгоритмом онлайн получения кадастрового плана. Данная информация поможет справиться с процессом максимально быстро и плодотворно.
Если вы нашли ошибку, пожалуйста, выделите фрагмент текста и нажмите Ctrl+Enter.
Не нашли ответа на свой вопрос? Узнайте, как решить именно Вашу проблему — позвоните прямо сейчас:
+7 (499) 938-46-18 (Москва)
+7 (812) 425-63-64 (Санкт-Петербург)
Что такое кадастровый план территории земельного участка?

Кадастровый план территории – что это такое?
Кадастровый план территории используется для того, чтобы собственник участка мог приватизировать землю. А также совершать сделки купли-продажи. В этот документе указана абсолютно все информация об участке, его границах и объектах на нем. Он обычно представлен в формате карты с условными обозначениями. Кроме кадастрового плана для совершения сделок также потребует кадастровый паспорт.
Если вы хотите узнать, как решить именно Вашу проблему — обращайтесь в форму онлайн-консультанта справа. Это быстро и бесплатно ! Или позвоните нам по телефонам:
+7 (499) 703-47-59
Москва, Московская область
+7 (812) 309-16-93
Санкт-Петербург, Ленинградская область
8 (800) 511-69-42
Федеральный номер ( звонок бесплатный для всех регионов России )!
Кадастровым планом территории называется специальный документ, который можно получить в госкадастре. В этой выписке указана вся информация о каком-либо участке. Именно этот документ дает вам право поставить свой участок на кадастровый учет. Без него оформление невозможно, потому что именно он подтверждает право собственности. Его можно получить в печатном виде на руки или в электронном виде. Основное содержание кадастрового плана территории – это подробная информация об участке.
В документе прилагается изображение, на котором четко прорисована граница и соседние объекты. Также должно быть обязательно указано местонахождение участка.

Рис1 — схема на кадастровом плане территории
Формы кадастрового плана территории
Кадастровый план участка состоит из нескольких форм, в каждой из которых описаны основные критерии. В форме
- КВ.1 содержится вся основная информация об участке. Обязательно должны быть указаны его номер, местонахождение, размер, цена. А также должно быть отмечено, кто является владельцем, и какой это вид права.
- В пункте КВ. 2 находится план самого участка с его границами.
- KB.3 В следующем разделе указаны права на участок и обременения, которые могут быть с ним связаны.
- Пункт КВ.4 схож с пунктом КВ.2, но отличается тем, что содержит более подробную схему каждой части участка.
- KB 5. в следующем разделе дается подробное описание точного места, где находится земельный участок, с указанием дирекционных углов.
- KB.6 последний пункт содержит информацию о поворотных точках границ участка. В документе должны быть указаны именно их координаты.
Где получить кадастровый план территории?
Получить кадастровый план можно в Росреестре. Если этот орган уже имеет абсолютно все данные об участке, то изготовление такого документа займет до 5 рабочих дней. Если там отсутствуют какие-либо данные или не хватает информации, необходимо написать заявление и приложить документы с актуальной информацией. В этом случае оформление будет идти немного дольше.
Сложнее всего, если вы еще не успели передать никакие данные Росреестру. Чтобы этого сделать потребуется ряд документов. Вам потребуется написать заявление, предоставить межевой план участка, сведения о том, что вы являетесь его собственником. Также потребуется заранее оплатить госпошлину.
Как подать онлайн-заявку для изготовления кадастрового плана территории?
Данную операцию можно сделать на сайте Росреестра. Начинается все с того, что вы должны указать сведения об участке. Обязательно нужно выбрать пункт “Кадастровый план территории”. В этом же разделе указывается номер кадастрового квартала. Он может быть от 5 до 9 знаков. Не забудьте указать ваш E-mail и перейти в следующий раздел.
Далее вам необходимо будет указать информацию о заявителе или представителе. Вам нужно будет указать, что вы являетесь физическим лицом. Также укажите ваши ФИО, номер паспорта, информацию о дате и месте выдачи. Сама система правильность данных не проверяет. Она только учитывает, все ли поля заполнены. Поэтому перепроверьте данные, которые вы внесли, чтобы с получением документа не возникло проблем. 
Следующим этапом будет проверка ваших данных. Сайт выдаст всю информацию, которую вы ввели, а затем вам надо будет подтвердить, что она правильная. Подтверждение можно сделать с помощью кнопки “Отправить запрос”.
Также эта информация поступит в форме письме на ваш E-mail. Оплатить выписку можно через разные платежные системы. Самые известные – это Киви (терминалы и кошелек в интернете), Сбербанк и Уральский банк реконструкции и развития.
После того, как вы подали заявку, на почту придет сообщение о решении по ней. Также будет указано, когда документ будет готов. На сайте можно регулярно проверять статус вашей заявки. Как только ваша заявка будет исполнена, вам придет письмо на почтовый ящик. В итоге у вас появится кнопка доступа к этому файлу, который можно будет, если необходимо, распечатать.
Документы для получения кадастрового плана территории
Для получения вам обязательно потребуется гражданский паспорт, копия свидетельства о государственной регистрации права обладания участком земли. Может потребоваться доверенность, если участок не является собственностью заявителя.
Срок действия кадастрового плана
У кадастрового плана нет конкретного срока действия. Он становится недействительным только в том случае, если на участке произошли серьезные изменения. В этом случае потребуется замена документа.
Как вы видите, процедура получения этого документа составит около двух недель. Получить его довольно несложно. Кадастровый план территории дает возможность подтвердить ваше право собственности на участок в определенных случаях. Лучше всего, чтобы оно было всегда у каждого собственника на руках.
Если вы хотите узнать, как решить именно Вашу проблему — обращайтесь в форму онлайн-консультанта справа. Это быстро и бесплатно ! Или позвоните нам по телефонам:
+7 (499) 703-47-59
Москва, Московская область
+7 (812) 309-16-93
Санкт-Петербург, Ленинградская область
8 (800) 511-69-42
Федеральный номер ( звонок бесплатный для всех регионов России )!
Читать еще: В чем разница между ЛПХ и ИЖС в 2019 году — земли, что лучше
