Как подать на алименты
1. Кто может подать на алименты?
Алименты — это содержание, которое несовершеннолетние, нетрудоспособные и/или нуждающиеся члены семьи имеют право получать от своих родственников и супругов, в том числе и бывших.
На алименты может рассчитывать ребенок:
- если он младше 18 лет и еще не стал полностью дееспособным по решению органа опеки или суда. На алименты в пользу ребенка может подать его опекун, попечитель, приемный или родной родитель, с которым остался ребенок;
- если он старше 18 лет, но признан недееспособным.
Один из супругов может рассчитывать на алименты, если:
- он нуждается и признан нетрудоспособным . Это право сохраняется после развода, если супруг стал нетрудоспособным до него или в течение года после этого;
- жена, в том числе бывшая, беременна или после рождения общего ребенка прошло менее трех лет;
- супруг, в том числе бывший, нуждается и ухаживает за общим ребенком-инвалидом младше 18 лет или ребенком — инвалидом с детства I группы;
- бывший супруг нуждается и достиг предпенсионного (55 лет для женщин и 60 лет для мужчин) либо пенсионного возраста до расторжения брака или в течение пяти лет после этого, а супруги состояли в браке длительное время.
Также алименты могут получить:
- нетрудоспособные и нуждающиеся в помощи родители, в том числе отчим и мачеха, — от своих совершеннолетних трудоспособных детей. Это правило не распространяется на опекунов, попечителей и приемных родителей;
- нетрудоспособные и нуждающиеся бабушки и дедушки — от своих совершеннолетних трудоспособных внуков, если не могут получить содержание от детей или супруга, в том числе бывшего;
- несовершеннолетние внуки — от своих бабушек и дедушек, обладающих достаточными для этого средствами, если не могут получить алименты от родителей. После совершеннолетия внуки могут рассчитывать на алименты, если их признали нетрудоспособными и они не могут получать помощь от своих родителей или супругов, в том числе бывших;
- недееспособные лица младше 18 лет — от своих совершеннолетних и трудоспособных братьев и сестер, если не могут получить их от своих родителей, а недееспособные лица старше 18 — если не могут получить алименты от своих детей;
- нетрудоспособные и нуждающиеся лица, воспитывавшие и содержавшие ребенка дольше пяти лет, — от своих ставших совершеннолетними воспитанников, если не могут получить содержание от своих совершеннолетних трудоспособных детей или супругов, в том числе бывших. Это правило не распространяется на опекунов, попечителей и приемных родителей;
- организации социального обслуживания, образовательные, медицинские или аналогичные организации, в которых содержится ребенок, могут подать на алименты в его пользу. В этом случае алименты могут взиматься только с родителей, но не с других членов семьи. Организации могут разместить полученные средства в банке под проценты и половину полученного дохода удержать в счет содержания детей.
2. Как подать на алименты?
Если между сторонами не заключено соглашения об уплате алиментов или вторая сторона отказывается их платить, обратитесь в суд по месту своего жительства:
- к мировому судье, если взыскание алиментов не связано с установлением, оспариванием отцовства или материнства либо привлечением других заинтересованных лиц;
- в районный суд — во всех остальных случаях.
Если один из родителей добровольно выплачивает алименты без оформления нотариально заверенного соглашения, суд все равно может взыскать с него алименты в пользу ребенка.
Подать на алименты можно в любой момент, пока вы или тот, чьи интересы вы представляете, имеете на них право.
За рассмотрение дела о взыскании алиментов в суде истец не оплачивает госпошлину.
3. Какие документы нужны, чтобы подать на алименты?
К исковому заявлению на выплату алиментов нужно приложить:
- его копии — по одной для судьи, ответчика и каждого из участвующих третьих лиц;
- документы, подтверждающие обстоятельства, которые позволяют подать на алименты. Такими документами, например, могут быть свидетельство о рождении ребенка, свидетельство о браке или его расторжении;
- единый жилищный документ и справки о доходах всех членов семьи;
- расчет суммы, которую вы рассчитываете получить в счет алиментов. Документ должен быть подписан истцом или его представителем с копией для каждого из ответчиков и участвующих третьих лиц;
- если иск будет подавать не сам истец, дополнительно приложите доверенность или другой документ, подтверждающий полномочия того, кто будет представлять его интересы, например свидетельство о рождении.
Как правило, алименты назначаются с момента подачи заявления в суд. Их могут начислить за предшествующий срок (но не более трех лет до дня обращения в суд), если вы предоставите в суде доказательства того, что пытались связаться со второй стороной и договориться или ответчик скрывает свои доходы либо уклоняется от уплаты алиментов. Такими доказательствами могут быть письма, отправленные по электронной почте, телеграммы или заказные письма с уведомлением.
4. Какой назначается размер алиментов?
Размер алиментов суд определяет исходя из материального положения обеих сторон. Алименты на содержание несовершеннолетних детей, как правило, составляют:
- на одного ребенка — четверть дохода;
- на двух детей — треть дохода;
- трое и более детей — половина дохода.
Эти доли могут быть уменьшены или увеличены с учетом материального и семейного положения сторон и других важных факторов . При определении размеров алиментов суд стремится сохранить уровень денежного содержания, который был у ребенка до развода или разъезда родителей. Если при каждом из родителей остаются дети, суд определяет размер алиментов в пользу менее обеспеченного из них.
Кроме доли дохода, суд может назначить алименты или их часть в виде определенной денежной суммы. Как правило, к таким мерам прибегают, когда ответчик скрывает часть своего дохода и доля от его официальных доходов не может обеспечить ребенку уровень жизни, который был у него.
При исключительных обстоятельствах — болезнь, увечье ребенка, отсутствие пригодного для постоянного проживания жилого помещения и тому подобное — суд может обязать одного или обоих родителей к дополнительным расходам.
Размер алиментов индексируются пропорционально росту прожиточного минимума (для группы населения, к которой относится их получатель).
По общему правилу алименты, удерживаемые из доходов должника на содержание несовершеннолетнего ребенка, не могут превышать 70% его доходов. В остальных случаях — 50% доходов.
5. Кто может не платить алименты?
Родители обязаны содержать своих детей после рождения и до 18 лет, если раньше ребенок не вступит в брак или не будет эмансипирован . Родители должны содержать ребенка, даже если он не нуждается в материальной помощи. Нетрудоспособность родителей, признание их недееспособности в суде или лишение родительских прав также не освобождает от этой обязанности.
В алиментах могут отказать:
- супругу или супруге, в том числе бывшим, если он или она стали нетрудоспособными и нуждаются в помощи из-за злоупотребления спиртным, наркотическими веществами или в результате совершения умышленного преступления либо вели себя в браке недостойно, например играли в азартные игры;
- бывшему супругу или супруге, если брак длился недолго. Суд сам решает, какой брак считать непродолжительным, — учитывается возраст супругов, количество предыдущих браков, время проживания вместе и другие обстоятельства;
- нетрудоспособным и нуждающимся в помощи родителям, в том числе отчимам и мачехам, которые требуют алиментов от своих детей, если суд установит, что они уклонялись от выполнения родительских обязанностей или были лишены родительских прав;
- воспитателям, если те содержали и воспитывали детей меньше пяти лет или делали это ненадлежащим образом;
- нетрудоспособному нуждающемуся в помощи бывшему супругу, если он вступил в новый брак;
- ребенку, если он усыновлен другой семьей.
Перечень документов для подачи на алименты
Содержание ребенка до его совершеннолетия, а в некоторых случаях и после него – прямая обязанность его родителей, вне зависимости от того, состоят они в браке или нет. При этом если один из супругов не выделяет средств на воспитание ребенка, второй родитель вправе подать на алименты. Перечень необходимых для этого документов зависит от ряда обстоятельств.
Основные пути решения проблемы
Оформление алиментов может быть произведено такими путями, как:
- Заключение по обоюдному согласию на выплату алиментов.
- Оформление алиментов с помощью суда.
- Оформление алиментов совершеннолетними детьми.
При этом подать на алименты можно как будучи в браке, так и после развода. В зависимости от ситуации пакет документов будет несколько отличаться.
Соглашение по обоюдному согласию
Наиболее простым и быстрым способом считается обоюдное соглашение об уплате алиментов. Заключается оно у нотариуса при наличии следующих бумаг:
- Свидетельство о рождении ребенка.
- Паспорт обоих родителей.
- Справка о доходах за 3 последних месяца. Предоставляется лицом, которое будет выплачивать алименты.
- Свидетельство об установлении отцовства. Для этого необходимо обратиться в ЗАГС с просьбой предоставить выписку из реестра.
В судебном порядке
Второй вариант оформления алиментов наиболее частый. При этом неважно, состоят ли родители в браке или развелись, жили в гражданском браке.
К основным документам относится:
- Свидетельство о рождении и две его копии.
- Два оригинала искового заявления о взыскании алиментов.
- Паспорт истца.
- Справка из ЖЭКа, подтверждающая, с кем проживает ребенок и на чьем иждивении находится.
Основной документ для разбирательства в суде – иск. Он должен быть правильно составлен, в противном случае дело будет отклонено. В исковом заявлении на алименты указываются:
- Адрес и название суда.
- Полные данные обоих родителей:
— фамилии, имена, отчества;
— домашний адрес;
— паспортные данные.
Вот образец заявления:


- Свидетельство о расторжении брака. Прилагается в том случае, если на алименты подается уже после развода. Предоставляется оригинал и две копии.
- Выписка из домой книги или справка их ЖЭКа, подтверждающая проживание ответчика по указанному в заявлении адресу. Предоставляется в том случае, если истец и ответчик проживают по одному адресу. Необходимы оригинал и копия.
- Также может потребоваться номер банковского счета, на который в дальнейшем будут перечисляться алименты.
Документы для выплаты алиментов матери
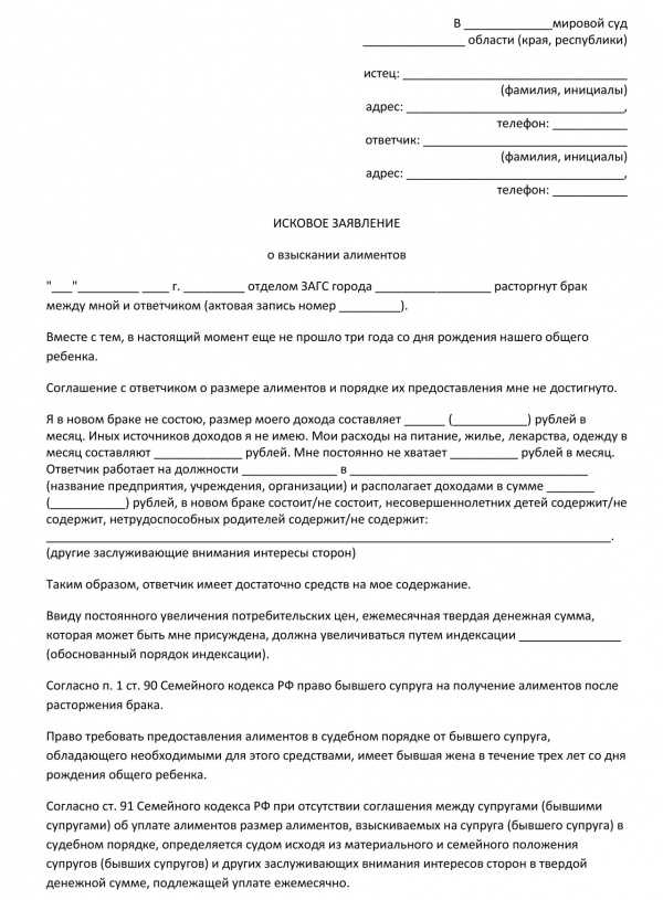
В главе 14 «Семейного кодекса» РФ указано, что до достижения ребенком 3-летнего возраста или в случае беременности и нетрудоспособности, жена может подать на алименты, предназначенные для ее непосредственного содержания.
Для этого в суд представляются следующие документы:
- Иск по такому образцу:


Алименты на совершеннолетнего ребенка
Согласно закону, ребенок по достижению совершеннолетия имеет право взыскать алименты с родителей в случае своей нетрудоспособности
Зачастую причины этого:
- инвалидность;
- обучение в ВУЗе на дневном отделении.
Для взыскания средств на содержание подается:
- Исковое заявление по бланку:


Если лица состоят в браке
На алименты можно подать и находясь в браке, о том, как это сделать — читайте тут. К примеру, если отец не дает денег на содержание ребенка, а тратит их на себя.
В таком случае, в основном пакете документов подается свидетельство о браке, а не о разводе. Кроме того, необходимо предъявить доказательство того, что ответчик не содержит семью, составить список свидетелей.
Если свидетельство о браке утеряно, то его всегда можно восстановить, следуя этой инструкции.
Гражданский брак
Подать на алименты можно даже в том случае, если имеет место гражданский брак.
Пакет документов – тот же. Отличие состоит лишь в том, что не подается свидетельство о браке или разводе.
В случае если ребенок был усыновлен отцом – бумага об усыновлении.
Видео: Взыскание алиментов и нужные документы
Более детально узнать об алиментах и документах для подачи заявления вы сможете из короткого видео:
Какие документы нужны, чтобы подать на алименты?
Семейное законодательство предусматривает обязанность родителей осуществлять заботу и содержание несовершеннолетних детей, а в некоторых случаях и достигших 18 лет. Внимание, развитие, образование – основные факторы полноценной жизни ребенка, ответственность за предоставление которых несут отец и мать. Уклонение от родительского долга предполагает взыскание обязательств в принудительном порядке. Какие документы нужны для подачи на алименты, рассмотрим далее в статье.
Читать еще: Документы при покупке автомобиля с пробегом: с рук и через автосалон
Перечень документов на алименты по статусу супругов
Содержание (кликните, чтобы открыть)
Обязанность материального обеспечения несовершеннолетнего ребенка относится к родителям в равной степени. Государство гарантирует выплаты алиментов независимо от социального, семейного статуса отца и матери. Порядок взыскания в разных ситуациях будет отличаться способом установления выплат и необходимой документацией.
Документы на алименты в официальном браке
Свидетельство о браке не является препятствием для инициирования процедуры назначения ежемесячного содержания. Отсутствие договоренности предоставляет право родителю, проживающему с несовершеннолетним, обратиться за защитой детских прав к органу правосудия. Тип производства диктует перечень документов.
Судебный приказИсковое заявление
- Письменное заявление, оформление которого отвечает процессуальным требованиям;
- заверенная копия паспорта взыскателя;
- официальный документ, удостоверяющий родство несовершеннолетнего ребенка и алиментообязанного;
- свидетельство о браке;
- персональные сведения ответчика (ФИО, место проживания (регистрация), контактные средства связи, трудоустройство).
- Исковое заявление;
- паспорт истца;
- официальный документ, свидетельствующий о родстве ребенка и алиментообязанного (свидетельство о рождении, решение судебного органа об усыновлении, установлении отцовства);
- свидетельство о браке;
- выписка из домовой книги;
- достоверная информация о доходах сторон;
- справка с места учебы (детского сада) ребенка;
- чеки, подтверждающие приобретение товаров для несовершеннолетнего (обоснование потребностей);
- расчет суммы алиментов;
- справки, удостоверяющие доход истца и ответчика;
- справка о составе семьи;
- квитанция об оплате госпошлины.
В обоих случаях документация предоставляется в канцелярию суда в трех экземплярах, по одному для каждого участника процесса: истцу, ответчику и суду.
При отсутствии причин для отказа заявление о выдаче судебного приказа рассматривается в течение 5 суток с момента регистрации пакета документов. При наличии спора потребуется открытие искового производства.
Документы на алименты в гражданском браке
Особенностью гражданского брака является то, что рожденному ребенку не гарантируется право на отцовство в отличие от детей, появившихся на свет в законной семье либо в течение 300 дней после развода.
Статья 53 Семейного кодекса РФ уравнивает права несовершеннолетних, родители которых установлены, и если факт закреплен документально.
Отец и мать несут полную ответственность за обеспечение нормальной жизнедеятельности ребенка. Обязанность материального участия может определяться в добровольном и принудительном порядке.
Взаимное согласие сторон характеризуется подписанием алиментного соглашения, для составления которого понадобятся следующие документы:
- паспорта сторон договора;
- свидетельство о рождении общего ребенка (если отец записан в соответствующей графе);
- решение суда об установлении отцовства (при необходимости);
- справка, выданная по месту трудоустройства плательщика;
- реквизиты банковского счета для перечисления денежных средств;
- чек об оплате нотариальных услуг.
Установление отцовства – основание для реализации права несовершеннолетнего на получение финансового содержания. Отсутствие информации об алиментообязанном в личных документах ребенка предшествует обращению в компетентные органы (ЗАГС, суд) с целью подтверждения данного факта.
К общему перечню документов может быть добавлена письменная информация о затратах на нужды ребенка (оплата детского досуга: посещение дошкольного учреждения, дополнительные занятия по спорту, танцам, искусству и т. д.).
В случае наличия веских доказательств суд вправе проигнорировать факт отсутствия брака и назначить максимальный размер алиментов.
Документы на алименты после развода
Расторжение брачных отношений не освобождает сторону, ушедшую из семьи, выполнять родительские обязанности в отношении общего ребенка. Взыскание алиментов с бывшего супруга осуществляется в судебном порядке путем подачи искового заявления.
Для удовлетворения требований необходимо представить документы, к числу которых относятся:
- Паспорта сторон процесса.
- Свидетельство, подтверждающее факт расторжения брака.
- Свидетельство о рождении несовершеннолетнего ребенка.
- Справки, удостоверяющие регулярный доход истца и ответчика.
- Справка о составе семьи.
- Квитанция об оплате госпошлины.
Приложение других документов к основному списку не запрещается, если они имеют отношение к делу и помогут разобраться в сложившейся ситуации.
При отсутствии обязательного перечня недостающая информация, например, о заработках участников судебного процесса, может быть получена путем подачи ходатайства одной из сторон об истребовании сведений судом у компетентных органов.
Как оформить алименты на ребенка
Алиментные обязательства по факту существуют у каждого родителя с момента рождения ребенка. Но пока отец с матерью исправно выполняют свой родительский долг, необходимость в рассмотрении этого вопроса у них не возникает.
Ситуация меняется позже, когда один из них забывает об обязанности содержать ребенка. И в этой ситуации другой родитель вправе приступить к оформлению алиментов. Но сделать это важно правильно, выбрав наиболее оптимальный способ и нужную последовательность.
В каких случаях ребенку положены алименты
Например, подать на алименты может мать ребенка, рожденного:
-
- вне брака (если только отец признает его и даст согласие на вписание своего имени в свидетельство о рождении либо это сделает за него суд по результатам установления родственных связей);
- в течение 300 дней после развода;
- в браке;
- другими родителями, но усыновленного с супругом в период брака;
- от мужчины, впоследствии лишенного родительских прав.
От исполнения обязанностей по содержанию несовершеннолетних детей отец может быть отстранен только в одном случае — если его отцовство было оспорено в судебном порядке. Сделать это можно только после рождения ребенка, и выплаченные к тому моменту суммы обратному взысканию не подлежат.
Алименты положены и совершеннолетним детям:
- инвалидам с детства;
- утратившим трудоспособность.
Кто может стать инициатором
Заняться оформлением алиментов (заявить в уполномоченный госорган) несовершеннолетний лично не вправе, поскольку законом он в гражданской правоспособности ограничен. В его интересах будет выступать законный представитель:
- Отец или мать (в зависимости от того, кто из них уклоняется от содержания ребенка).
- Опекун (от имени подопечного младше 14 лет).
- Попечитель (в пользу ребенка от 14 до 18 лет).
Что касается совершеннолетнего нетрудоспособного ребенка, подать на алименты может он сам, но только при условии обладания полной дееспособностью. За тех, кто был лишен или ограничен в ней судом, юридически значимые действия будет выполнять назначенный опекун или попечитель.
На что вправе рассчитывать ребенок
На содержание несовершеннолетнего законом установлен минимальный порог — сумма, которой должно хватить на покрытие его базовых нужд. Она определяется двумя методами:
- пропорционально доходу плательщика (долевое взыскание);
- исходя из прожиточного минимума и потребностей получателя (твердая сумма).
Размер алиментов в долевом соотношении составляет:
- 1/4 от доходов родителя на одного ребенка;
- 1/3 — на двоих;
- 1/2 — на троих детей и более.
Если источники и размер прибыли алиментщика с точностью определить нельзя либо получатель — совершеннолетний нетрудоспособный ребенок, сумма денежного содержания назначается в форме фиксированного платежа.
При определении твердой суммы учитывается:
- материальное положение плательщика и получателя;
- прожиточный минимум, установленный для данного региона;
- наличие дополнительных обязательств алиментщика;
- состояние здоровья родителей и ребенка.
Способы оформления
Добиться материальной помощи от родителя можно в принудительном или добровольно-принудительном порядке — через суд либо путем заключения соглашения об уплате алиментов.
Первым следует попробовать внесудебный способ оформления. Он возможен при следующих условиях:
- И плательщик, и получатель в состоянии найти компромисс и договориться о размере и порядке выплаты алиментов.
- Обе стороны соглашения полностью дееспособны.
- Суть договора не противоречит законным интересам получателя и плательщика.
- У родителей (представителей и т. п.) есть возможность лично или через посредников посетить нотариуса для удостоверения сделки.
Достоинство внесудебного оформления — в отсутствии спора и сложностей, связанных с его разрешением, а также в том, что условия договора должны стать более приемлемыми для сторон, поскольку составлялись ими самими.
Недостатком может стать размер затрат на удостоверение соглашения — нотариусы Москвы за данную услугу берут около 8 тысяч рублей.
Оба исполнительных документа — соглашение об уплате алиментов и судебный акт — обладают равной юридической силой и могут стать основанием для принудительного взыскания денежных средств через судебных приставов.
Для оформления алиментов во внесудебном порядке сторонам договора потребуется:
- Обсудить содержание соглашения и удостовериться в его соответствии актуальным нормативно-правовым актам (в данном случае — Гражданскому и Семейному кодексу РФ).
- Изложить утвержденные пункты в трех экземплярах.
- Прийти к нотариусу (подойдет любой лицензированный специалист, не зависимо от его местоположения).
- Поставить на бумагах подписи и передать нотариусу для удостоверения.
После заключения соглашения у сторон и нотариуса должно остаться по одному экземпляру. В случае утери документ можно восстановить через нотариальную контору, в которой происходило удостоверение.
Как составить соглашение
Документ оформляется письменно — от руки или с использованием ПК — на листах A4 (с одной стороны).
В нем необходимо указать:
- Вводную информацию — ФИО, паспортные данные, место жительства, статус сторон, ФИО ребенка.
- Предмет соглашения — суть и ключевые пункты (размер, момент начала выплат и т. п.).
- Форму и сроки алиментных отчислений — каким образом и в каких числах будут осуществляться выплаты, способ подтверждения передачи алиментов.
- Права и обязанности сторон.
- Срок действия договора — условия расторжения сделки, обстоятельства, влекущие за собой прекращение обязательств или пересмотр особенностей их исполнения.
Соглашение в обязательном порядке подписывается сторонами и удостоверяется нотариусом.
Можно ли разорвать сделку?
Прекращение действия соглашения наступает в трех случаях:
- Достижение несовершеннолетним 18-ти лет или восстановление трудоспособности совершеннолетним.
- Подача обоюдного заявления о расторжении.
- Обнаружение недействительности документа.
В одностороннем порядке (по желанию одного плательщика либо получателя) соглашение расторгнуто быть не может.
Если условия договора перестали удовлетворять одну из сторон, его можно оспорить полностью или в части. Это осуществимо только при наличии веских оснований, например, в случае изменения материального, семейного положения алиментщика либо возникновении иных обстоятельств, влияющих на его платежеспособность.
Недействительное соглашение признается таковым с самого заключения и при некоторых обстоятельствах уже выплаченные средства могут быть возвращены алиментщику. Но так происходит крайне редко, только при обнаружении в действиях получателя явной недобросовестности.
В судебном порядке
Если дело дошло до суда, представителю ребенка потребуется:
- Составить заявление о взыскании алиментов.
- Подготовить пакет необходимых бумаг.
- Направить заявление и документы в суд.
- Получить вынесенный судьей акт о назначении алиментов (исполнительный лист).
При стабильном и «прозрачном» уровне дохода родителя ребенок получит долю от его общего размера. В этом случае взыскание будет производиться на основании приказа, выданного мировым судьей в ходе упрощенного производства.
Но дел об определении размера алиментов в твердой денежной сумме это не касается. Иск с подобной просьбой рассматривается по всем правилам искового производства. В отличие от приказного в ходе процесса осуществляется:
- Слушание с вызовом двух сторон.
- Исследование доказательной базы, представленной истцом.
- Вызов свидетелей (при наличии).
В итоге истцу также выдается решение о взыскании, с которым он потом сможет истребовать с алиментщика установленную сумму.
В подаваемом заявлении указывается:
- ФИО взыскателя и должника (в исковом производстве — истца и ответчика), место их регистрации.
- Наименование и местоположение суда первой инстанции.
- ФИО и дата рождения ребенка.
- Реквизиты свидетельства о рождении.
- Сведения о доходах плательщика.
- Иные заслуживающие внимания обстоятельства.
- Просьба заявителя по существу.
- Перечень документов, приложенных к заявлению.
- Дата подачи.
Скачать заявление о выдаче приказа Скачать иск о взыскании алиментов в твердой денежной сумме
Необходимые документы
К мировому судье представитель ребенка вместе с заявлением о выдаче приказа приносит:
- Свидетельство о рождении или паспорта ребенка.
- Свой паспорт.
- Решение органа опеки и попечительства (если заявитель не приходится несовершеннолетнему родителем).
- Свидетельство об усыновлении (для усыновителя).
- Справка о доходах плательщика.
- Копии заявления и остальных предъявляемых бумаг.
Если рассматривается дело об определении твердой суммы алиментов, к представленному выше перечню следует добавить:
- показания свидетелей;
- любые документы, позволяющие установить примерный доход и состав личных материальных активов алиментщика;
- расчет суммы средств, необходимых для содержания ребенка;
- справки, способные повлиять на размер твердой денежной суммы (о состоянии здоровья ребенка, доходах истца и др.).
Можно оформить алименты в браке?
Заявить о взыскании денежных средств на содержание ребенка один из его родителей вправе не только после развода. Ведь даже, проживая в одном доме как законная семья, отец или мать могут недобросовестно исполнять свои обязательства и совсем не участвовать в финансовой заботе о совместном ребенке.
И в такой ситуации существование законного брака — вовсе не препятствие для оформления алиментов на несовершеннолетнего.
Что делать дальше
Заключение соглашения или получение судебного акта само по себе к получению денежных средств ведет не всегда — бывают случаи, когда плательщик даже после оформления алиментов продолжает уклоняться от выполнения родительских обязанностей.
Тогда представителю несовершеннолетнего или уже совершеннолетнему ребенку нужно будет обратиться в службу судебных приставов для подачи заявления о принудительном исполнении документа об удержании алиментов.
Должностное лицо службы принудительного взыскания обязано обеспечить получение периодических платежей по содержанию ребенка и/или задолженности по ним. Для этого могут быть предприняты такие меры:
- Вынесение приказа о взыскании.
- Подача распоряжения об удержании денежных средств к месту работы/службы должника.
- Арест материальных активов алиментщика.
- Продажа его имущества (возможно части) с торгов для покрытия задолженности.
За несоблюдение сроков передачи алиментных платежей с должника дополнительно будет взиматься нейстойка в размере 0,1 % от невыплаченной суммы за каждый день просрочки.


Для вас работают БЕСПЛАТНЫЕ КОНСУЛЬТАЦИИ! Если вы хотите решить именно вашу проблему, тогда:
- опишите вашу ситуацию юристу в онлайн чат;
- напишите вопрос в форме ниже;
- позвоните +7(499)369-98-20 — Москва и Московская область
- позвоните +7(812)926-06-15 — Санкт-Петербург и область
Сколько денег и на что можно требовать

Алименты — это материальная помощь на содержание несовершеннолетних детей, одного из супругов, родителей или других родственников. Например, получать алименты могут нетрудоспособные дедушка или бабушка либо несовершеннолетние брат или сестра. Самый распространенный вид алиментов в России — выплаты на несовершеннолетних детей.

Обычно алименты — это деньги. Но родители могут договориться в специальном соглашении, что в счет алиментов пойдут траты на секции, отдых и одежду для ребенка.
Обычно алименты платят каждый месяц, но можно договориться платить реже. Например, перечислять на содержание ребенка 100 тысяч рублей раз в полгода вместо 16 тысяч каждый месяц — это тоже нужно указывать в соглашении.
Разберемся, какие алименты бывают, кто должен и не должен их платить и какие документы нужны, чтобы подать на алименты.
Родители обязаны содержать своих несовершеннолетних детей. Если родители развелись, это не значит, что воспитывать и содержать ребенка теперь должен кто-то один. Если после развода ребенок остается жить с одним из супругов, второй должен платить алименты на его содержание.
Вот кто кроме супругов может подать на алименты на несовершеннолетнего ребенка:
- Опекун или попечитель ребенка.
- Приемные родители.
- Усыновитель.
- Организация для сирот и детей, оставшихся без попечения родителей.
- Орган опеки и попечительства.
Перечисленные выше люди и органы имеют право требовать алименты с родителей ребенка, даже если их лишили родительских прав.
Получать алименты может супруг в браке без развода. Согласно семейному кодексу, супруги обязаны материально поддерживать друг друга. Один супруг может отказываться помогать второму. Тогда второй супруг имеет право требовать с него алименты, если он:
- Нетрудоспособный и нуждается в помощи — он инвалид или пенсионер.
- Ухаживает за ребенком-инвалидом второй или третьей группы, пока ему не исполнится 18 лет, или ребенком-инвалидом первой группы — в том числе после 18 лет.
Если жена беременна или со дня рождения общего ребенка прошло менее трех лет, она тоже имеет право требовать алименты на свое содержание. В Орловском областном суде женщине удалось взыскать алименты с супруга в размере прожиточного минимума в регионе — 9694 рубля в месяц.
Право на алименты от бывшего супруга имеют:
- Бывшая жена во время беременности и в течение трех лет со дня рождения общего ребенка.
- Бывший супруг, который ухаживает за ребенком-инвалидом второй и третьей группы, пока ему не исполнится 18 лет, или ребенком-инвалидом первой группы — в том числе после 18 лет.
- Бывший супруг, который стал нетрудоспособным до развода или в течение года после него.
- Бывшая жена, которой исполнилось 55 лет, или бывший муж, которому исполнилось 60 лет, или если один из супругов вышел на пенсию не позднее чем через пять лет с момента расторжения брака.
Перечисленные выше категории супругов имеют право на алименты, если бывший супруг имеет возможность их выплачивать, например имеет высокую зарплату или пенсию.
В суде такие дела не редкость. В Омске женщина обратилась в суд с иском, где просила расторгнуть брак и взыскать с бывшего супруга алименты. Истица была инвалидом и нуждалась в материальной поддержке и помощи. Суд удовлетворил иск и взыскал с бывшего супруга алименты — 3000 рублей в месяц.
Дети обязаны содержать своих родителей, если те нетрудоспособны и нуждаются в помощи. Например, если родитель инвалид или достиг предпенсионного или пенсионного возраста.
При этом дети должны быть старше 18 лет и трудоспособны. Еще важно, чтобы они могли себе позволить платить родителям алименты.
В Красноярске родители-пенсионеры потребовали алименты со своей дочери: 13 000 рублей на мать и 7000 рублей на отца — всего 20 000 рублей. У дочери есть несовершеннолетний ребенок, а получает она 14 000 рублей в месяц. Судья частично удовлетворила иск и взыскала с дочери алименты, но в гораздо меньшем размере: по 500 рублей в месяц на каждого родителя.
Если дети не помогают родителям, родители могут обратиться в суд и потребовать алименты. Но родитель должен быть нетрудоспособным, действительно нуждаться в помощи и суметь доказать это в суде.
В Тюмени пенсионерка требовала с детей алименты на свое содержание. Ее пенсия — почти 23 тысячи рублей плюс компенсации за лекарства и коммунальные услуги. Суд отказал пенсионерке в иске, поскольку ее доход выше прожиточного минимума в регионе. По мнению суда, пенсионерка может содержать себя самостоятельно.
Родителям не положены алименты, если их лишили родительских прав или суд установит, что они не выполняли обязанности родителей.
Кто еще может подать на алименты
Подать на алименты на свое содержание могут не только супруги или родители, но и другие родственники, если они нетрудоспособны и им больше некому помочь: несовершеннолетние или нетрудоспособные брат или сестра, дедушка или бабушка, внук, отчим или мачеха.
Еще на алименты может подать воспитатель, который воспитывал и содержал ребенка больше 5 лет, если только он не попечитель и не приемный родитель.
Кто может не платить алименты
В некоторых случаях алименты можно не платить.
Родитель. Если супруги заключили добровольное соглашение об алиментах, они могут прописать случаи, когда алименты можно не платить. Например, если супруга повторно вышла замуж и ее новый муж усыновил ребенка, если ребенок устроился на работу или открыл ИП до совершеннолетия.
Когда ребенок становится совершеннолетним, алименты платить не нужно. Исключение — если один родитель задолжал по алиментам. Тогда другой родитель имеет право потребовать выплатить долг даже после того, как детям исполнилось 18 лет.
Родитель может не платить алименты по решению суда, если его семейное или материальное положение изменилось. Например, отец ребенка стал инвалидом и не может трудиться на прежней работе. В этом случае он может пойти в суд и потребовать освободить его от алиментов. Но суд не всегда идет навстречу.
В республике Дагестан мужчина попросил суд снизить алименты на детей, потому что стал инвалидом. Он утверждал, что из-за этого изменилось его материальное положение. Раньше он платил почти 15 000 рублей в месяц на четверых детей, а в суде попросил снизить сумму до 5000 рублей. Суд в иске отказал, поскольку установленная истцу третья группа инвалидности не лишает его способности работать.
В другом деле отец платил по 6400 рублей на детей и захотел снизить размер алиментов. Мужчина решил, что раз он уже задолжал 226 тысяч рублей, то его материальное положение ухудшилось и он имеет право платить меньше. Суд посчитал, что долг по алиментам — не повод платить меньше, и в иске отказал.
Важно: ограничение или лишение родительских прав — не повод не платить алименты. Если суд лишил родителя прав на ребенка, отец или мать все равно обязаны его содержать.
Дети могут не платить алименты родителям, если суд установит, что родители уклонялись от своих обязанностей и не содержали ребенка. Также дети не платят алименты на родителей, лишенных родительских прав. В Красноярске одна женщина попыталась взыскать алименты с дочери, чтобы оплачивать жилье и лекарства. Но суд узнал, что ее лишили родительских прав, и в алиментах отказал.
Какие нужны документы для взыскания алиментов?
Время чтения: 6 минут
Алименты можно взыскать как в добровольном, так и в принудительном порядке, каждый из способов имеет свои особенности и требует подготовки определённого пакета документов. О том, что нужно иметь при себе и необходимо подготовить заранее пойдёт речь ниже.
Добровольное взыскание
Данный способ предполагает, что стороны мирно договорились по всем вопросам уплаты денежных средств на содержание детей. Такая договорённость может быть оформлена нотариальным соглашением, в котором будут указаны: размер алиментов, порядок, сроки и способы их уплаты, индексация, при необходимости какие-либо дополнительные условия.
Добровольная оплата алиментов
Соглашение является одновременно и исполнительным документом, поэтому может быть предъявлено в службу судебных приставов.
Для его оформления родителям ребёнка (детей) следует обратиться к любому нотариусу с проектом самого соглашения и предъявить следующие документы:
- паспорта родителей (оригиналы);
- свидетельства о рождении общих несовершеннолетних детей (при наличии копии свидетельств об установлении отцовства, перемени имени, фамилии, отчества);
- оригинал свидетельства о заключении или расторжении брака;
- некоторые нотариусы требуют справки о доходах получателя и плательщика алиментов по форме 2-НДФЛ.
Так же имеет место быть и устная договорённость супругов по вопросу уплаты алиментов, однако, рисков для каждой из сторон в этом случае намного больше. Устная договорённость ничем не регулируется, факт её существования порой доказать просто невозможно, только расписки в получении денег на содержание ребёнка и платёжные документы могут подтвердить исполнение алиментных обязательств отдельно проживающим родителем.
Принудительное взыскание
Взыскание алиментов через суд может происходить в упрощённом и общем порядке.
Приказное производство (упрощенный порядок)
Упрощённый порядок реализуется в форме приказного производства и применяется, когда выполняются два условия:
- должник в данный момент других алиментов не выплачивает;
- алименты взыскиваются в долевом соотношении к заработной плате (1/4 на одного ребёнка, 1/3 – на двух, 1/5 – на трёх и более детей).
Следует подготовить:
- заявление о выдаче судебного приказа в 3-х экземплярах (для суда, для ответчика и для отметки суда о принятии документов);
- копии свидетельств о заключении/расторжении брака – 2 экз.;
- копии свидетельств о рождении детей – 2 экз. (при наличии копии свидетельств об установлении отцовства, перемени имени, фамилии, отчества);
- выписка из домовой книги или свидетельства о регистрации ребёнка и вашем месте регистрации – 2 экз.;
- также желательно приложить копию своего паспорта для суда;
Мировой судья в течение 5 дней после получения документов без вызова сторон подготовит судебный приказ о взыскании алиментов, который необходимо предъявить по месту работы должника или в службу судебных приставов. Однако должник, узнав об этом и не согласившись с уплатой алиментов, имеет право в течение 10 дней с момента получения судебного приказа подать заявление в суд об его отмене. После этого следует обращаться в суд уже с исковым заявлением о взыскании алиментов.
Исковое производство (общий порядок)
Общие правила искового производства применяются во всех остальных случаях, а именно:
- с должника уже взысканы алименты на содержание детей от прошлых браков;
- он имеет непостоянный, меняющийся заработок, и в связи с этим вы хотите алименты в твёрдой денежной сумме, кратной величине прожиточного минимума по вашему субъекту, а не в процентном соотношении к зарплате;
- должник отменил судебный приказ о взыскании алиментов.
Читать еще: Как сделать межевание земельного участка самому?
Стороны будут вызваны в суд на беседу, судебные заседания, они могут заявлять ходатайства и отводы, возражать относительно заявлений противной стороны, представлять доказательства, допрашивать свидетелей и т.д. По итогу будет получен исполнительный лист о взыскании алиментов.
Необходимо подготовить следующие документы:
- исковое заявление о взыскании алиментов– 3 экз. (для суда, для ответчика и для отметки суда о принятии документов);
- расчёт размера алиментов на ребёнка – 2 экз.;
- для подтверждения представленного вами расчёта желательно сразу приложить или предъявить на стадии судебных заседаний чеки и платёжные документы, подтверждающие данные расходы: если ребёнку необходимо дорогостоящее медицинское лечение – справки или заверенные копии медицинских карт; обязательное санаторно-курортное лечение – заключение врача; ребёнок посещает кружки и секции – документы об их оплате, все документы прилагаются в 2-х экз.;
- копии свидетельств о заключении/расторжении брака – 2 экз.;
- копии свидетельств о рождении детей – 2 экз., (при наличии копии свидетельств об установлении отцовства, перемени имени, фамилии, отчества);
- выписка из домовой книги или свидетельства о регистрации ребёнка и вашем месте регистрации – 2 экз.;
- также желательно приложить копию своего паспорта для суда;
- при взыскании алиментов в твёрдой денежной сумме – справка о ваших доходах по форме 2-НДФЛ – 2 экз. или копия трудовой книжки с отметкой об увольнении – 2 экз.;
Госпошлина заявителем в данных случаях не оплачивается.
К этапу сбора и подготовки документов следует подойти с особой внимательностью, отсутствие какой-либо справки или копии может послужить причиной возврата или оставления без движения всего пакета документов, что существенно затянет процесс взыскания.
Какие документы нужны для подачи на алименты? Базовый перечень для каждого случая
Семейным законодательством РФ предусмотрены различные способы оформления алиментов на содержание ребенка. От выбранного варианта подачи на содержание зависит перечень необходимых документов.
Документы на алименты для матери в декретном отпуске
Получать алиментные выплаты имею имеют право несовершеннолетние дети и их мамы. В последнем необходимо учитывать ряд условий.
Если гражданин отказывает своей бывшей супруге в финансовой помощи, в таком случае возможно взыскание содержания через суд, что предусмотрено статьей 90 Семейного Кодекса РФ.
Для этого женщине потребуется обратиться в органы судебной власти с исковым заявлением и следующим пакетом документов:
- Копия паспортов ответчика и истца.
- Справка о составе семьи из жилищного учреждения по месту проживания, которая подтвердит совместное проживание ребенка с истцом).
- Справка о получении алиментов на ребенка.
- Свидетельство о рождении иждивенца.
- Документ о разводе.
- Справка с места работы, подтверждающая декретный отпуск. Документы, подтверждающие расходы матери ребенка на собственное содержание (выписки из банковских счетов, квитанции, чеки).
Женщине предоставляется право подать взыскание на собственное содержание при соблюдении определённых условий:
- Ребенок должен быть совместным.
- На момент подачи заявления возраст ребенка должен составлять не более трех лет.
Стоит отметить, что после того, как ребенку исполнится три года, пособие на мать прекращается. Но сам малыш продолжает получать алиментные выплаты от отца до момента достижения совершеннолетия.
Документы к добровольному соглашению
Если родителями принято решение о добровольной уплате пособия на содержание ребенка, то в таком случае составляется алиментное соглашение. Его ценность для родителей заключается, в первую очередь, в том, что данный документ несет юридическую значимость. При несоблюдении условий, соглашение необходимо направить по месту работы неплательщика самостоятельно или же через органы судебных приставов. Для его оформления потребуются следующие документы:
- Свидетельство о рождении.
- Оригиналы паспортов обоих родителей.
- Реквизиты банковского счета алиментополучателя (БИК, ИНН, номер расчетного счета).
- Справка от родителя-плательщика с места работы о размере заработной платы за последние 3 и более месяцев.
Стоимость оформления данного документа у нотариуса составляет чуть выше пяти тысяч рублей, в зависимости от региона.
Некоторые особенности
Не многие осведомлены о том, что при подаче заявления на уплату алиментных обязательств через суд родители могут находиться в официальном или гражданском браке, а также разведены. При рассмотрении дела суд не обращает внимание на данный аспект, важно лишь предоставить корректный пакет документов.
Какие документы нужны для получения алиментов?
Если родителям не удается решить мирно данный вопрос, то получатель имеет право на принудительное взыскание денежных средств, которое возможно осуществить определенными способами:
- Подача заявления о выдаче судебного приказа.
- Обращение в судебные органы с исковым заявлением о взыскании алиментов.
Следует отметить, что пакет документов на взыскание алиментов в вышеизложенных способах может незначительно отличаться. Рассмотрим, какие нужны документы для подачи на алименты
- Соответствующее заявление.
- Документ о заключении брака и разводе (при наличии).
- Паспорт истца.
- Свидетельство о рождении.
- Выписка из домой книги, подтверждающая совместное проживание с ребенком.
Куда подавать документы на алименты?
Как правило, заявление подается в мировой суд по месту жительства истца. Следует обратить внимание, что иск направляют мировому судье, если его сумма не превышает пятьдесят тысяч рублей, в противном случае, заявление направляется в районный суд.
Какие документы нужны судебным приставам для взыскания алиментов?
Для взыскания алиментного долга через данную службу потребуется некоторый перечень документов:
- Паспорт.
- Приказ, выданный судебным органом.
- Алиментное соглашение (при наличии).
- Банковские реквизиты — счет, на который будут переводиться взысканные денежные средства.
- Документы конечного получателя пособий: свидетельство о рождении, паспорт (при наличии).
- Исполнительный лист.
Для возбуждения дела получателю необходимо предоставить заявление
о прошении инициирования исполнительного производства. В нем нужно указать следующее:
- Наименование органа ФССП, куда обращается гражданин.
- Сведения о сторонах алиментных отношений.
- Информацию о несовершеннолетнем получателе средств.
- Реквизиты исполнительного листа.
Документы для взыскания алиментов через суд
Пакет документов для подачи в суд готовится в соответствии со статьями 132 и 124 ГПК РФ. К заявлению прикладывают копии следующих документов:
- Свидетельство о рождении иждивенца.
- Паспорт заявителя с отметками о регистрации брака и пропиской.
- Свидетельство о браке.
К вышеизложенному обязательно добавляются оригинальные справки:
- О доходах двух сторон.
- О составе семьи.

Способы обращения за алиментами
Ранее упоминалось, что, если родители не смогли самостоятельно решить вопрос о выплате пособия на общего ребёнка, посредством алиментного соглашения, то в таком случае взыскание алиментов производится в судебном порядке. Данный процесс осуществляется следующими способами:
- Подача искового заявления в судебные органы, если неплательщик подал возражения на судебный приказ.
- Обращение за выдачей судебного приказа, будучи как в браке, так и в разводе.
Исковое заявление о взыскании алиментов на ребенка
Итак, если родители не смогли прийти к компромиссу о размере и порядке выплат или же одна из сторон не выполняет алиментные обязательства, то взыскать алименты можно через суд. Исковое заявление является принудительным способом взыскания алиментов с должника, когда у родителей не получается урегулировать вопрос мирным путем с помощью алиментного добровольного соглашения.
Кто имеет право подать исковое заявление о взыскании алиментов на ребенка?
Правом подачи такого заявления наделены родители и опекуны, а также государственные органы и администрации детских учреждений, представляющие интересы ребенка.
Если алименты взыскивает один из родителей, одним из главных условий является их совместное проживание с малышом. Также важно, чтобы будущий алиментополучатель содержал ребенка за свой счет. При этом суд не берет во внимание, раздельно проживают родители или вместе, состоят в браке или разведены. Здесь главным является именно отсутствие материальной помощи на содержание ребенка.
Если ребенок, по каким-либо причинам, остался без попечения родителей, то право на взыскание алиментных выплат будет иметь его опекун. Попечитель должен официально иметь статус опекуна, подтвержденный документально.
Составление искового заявления о взыскании алиментов
Статья 131 ГПК отражает все требования по написанию заявления о взыскании алиментных выплат. В данном документе необходимо указать следующее:
- Наименование суда, в который истец подаёт заявление.
- Полные данные относительно алиментополучателя (паспортные данные, адрес регистрации и фактического проживания).
- Сведения об ответчике. Здесь важно учесть, что обязательным требованием является указание адреса проживания должника. При не предоставлении этой информации будет инициирован розыск ответчика, что влечёт за собой приостановление дела.
- Краткое описание нарушений прав с обоснованием получения алиментных выплат.
- Указание цены иска. В данном случае, она будет равна сумме алиментов за год.
- Составление перечня документов, приложенных к исковому заявлению.
Куда подавать исковое заявление о взыскании алиментов на ребенка?
Согласно правилам действующего законодательства, подача иска производится по месту жительства должника. Но по желанию истца, заявление может быть направлено по месту жительства самого заявителя.
Как подать исковое заявление о взыскании алиментов?
Наиболее простой способ взыскать алименты с должника – получить судебный приказ. Заявление и все необходимые к нему документы истец может принести лично или же отправить по Почте России заказной корреспонденцией.
Рассмотрение искового заявления о взыскании алиментов на детей
Заявление рассматривается в течении пяти дней, после чего выдаётся на руки истцу или же направляется по месту работы ответчика. С момента вынесения приказа у ответчика есть десять дней для того, чтобы предоставить суду свои возражения в письменной форме.
В документе необходимо указать на необоснованные и несправедливые требования истца, ссылаясь на имеющие доказательства или нормы законодательства. Если за этот период от плательщика не поступило возражений, то приказ вступает в силу. С этого момента работодатель должника на законных основаниях удерживает с заработной платы сотрудника сумму, указанную в судебном документе.
Если за этот момент от ответчика направлено возражение на исковое заявление, судебный приказ отменяется, и в этом случае сумма на содержание ребенка взыскивается в порядке обычного искового производства.
Вопросы при составлении искового заявления о взыскании алиментов
Предлагаем рассмотреть распространённые вопросы, которые могут возникнуть при составлении иска.
- Как указать в заявлении, если алиментоплательщик выполняет алиментные обязательства перед другими детьми от первого брака? В данном случае применяется стандартный образец искового заявления. В данном документе нужно указать, что ответчиком уже производятся алиментные выплаты на других детей в определенном размере. Помимо этого, можно обратиться к суду с просьбой взыскать алименты на общих с ответчиком детей с учетом выплачиваемых сумм.
- Если ребенок прописан у одного родителя, а проживает у другого, необходима ли справка с жилищных органов? Что делать в случаях, когда место работы алиментоплательщика неизвестно, а справку он отказывается предоставлять? В данном случае, непредоставление справки не будет грубым нарушением, но вместо нее суд может затребовать иные доказательства того, что ребенок находится на попечении истца. Что касается справки с места работы, то в заявлении данный аспект необходимо затронуть. В таком случае, справка с работы будет затребована органами судебной власти.
- Можно ли пропустить графу, в которой указывается наличие других детей у ответчика, если истец не владеет этой информацией? Если заявителю неизвестно о других иждивенцев, в отношении которых ответчик должен платить алименты, разрешается не указывать это в заявлении.

Документы на алименты при незарегистрированном браке
Действующим законодательством предусмотрено взыскание алиментов даже в том случае, если отношения родителей не были зарегистрированы официально. При подаче заявления от истца потребуется стандартный пакет документов. Отличие состоит лишь в том, что заявителю не нужно подавать свидетельство о браке или разводе.
Помимо этого, если графа «Отец» в свидетельстве ребенка пустая, то стоит предварительно установить отцовство и приложить к заявлению постановление суда.
Алименты на совершеннолетних детей
В практике бывают случаи, когда алиментные выплаты продолжаются после достижения ребёнком восемнадцати лет. Как правило, это связано с постоянной или временной нетрудоспособностью.
Для подачи заявления на содержание совершеннолетнего ребёнка от истца потребуется следующий пакет документов:
- Паспорт.
- Свидетельство о разводе.
- Сведения о ребенке.
- Справка об инвалидности или иной документ, доказывающий нетрудоспособность.
- Документы, подтверждающие трудное финансовое положение семьи.
Помимо вышеперечисленного, судом могут быть запрещены и иные сведения, например, место учебы алиментополучателя, место работы ответчика или истца и другое.
