Обязанность содержать детей — как подать на алименты в гражданском браке
Вопросы о необходимости выплаты алиментов возникают не всегда. Они актуальны, когда один из родителей не выполняет обязательств по содержанию несовершеннолетнего. Не имеет значения при этом, состоят ли супруги в браке или уже разведены. Можно ли подать на алименты в гражданском браке, какие документы нужны для этого?
Можно ли получить алиментные выплаты на ребенка, если брак не зарегистрирован
Отсутствие официального оформления семейных отношений не освобождает от обязанности обеспечивать детей. Если в так называемом гражданском браке есть ребенок, то мать и отец в равной степени обязаны содержать его. Если одна из сторон не выполняет этого обязательства, то вторая вправе потребовать этого в судебном порядке.
В каких случаях можно требовать средства на содержание ребенка при отсутствии регистрации брака
Условием получения алиментов вне брака является признание отцовства и наличие соответствующего документа. Это может быть свидетельство из ЗАГСа или решение суда. Если его нет, то сначала придется обратиться в суд или установить факт добровольно, с согласия второго родителя.
Как оформить алиментарные выплаты на ребенка, рожденного в гражданском браке
Способ оформления алиментов непосредственно зависит от позиции потенциального плательщика. Если он добровольно согласен совершать платежи, то обоим родителям необходимо составить соглашение у нотариуса. Если же обязанное лицо против, то придется оформлять алименты через суд.
Чтобы оформить алименты у нотариуса потребуется выполнение следующих условий:
- явка обоих родителей;
- наличие паспортов;
- достижение договоренности по поводу условий перечисления алиментов.
При обращении в судебные органы, необходимо действовать согласно пошаговой инструкции:
- Сбор документов.
- Составление иска.
- Подача иска и собранного пакета документов в суд.
- Ожидание определения суда о принятии представленного заявления к рассмотрению.
- Участие в слушании, отстаивание собственной позиции.
- Получение на руки решения суда. Если иск удовлетворен, необходимо обращаться к судебным приставам с решением.
Куда обращаться
Существует две инстанции, в которых может решаться вопрос о начислении алиментов:
- нотариус в случае добровольного соглашения между сторонами;
- суд, если один из них не согласен перечислять средства в адрес несовершеннолетнего.
Выбор места обращения напрямую зависит от позиции потенциального плательщика.
Как правильно написать исковое заявление
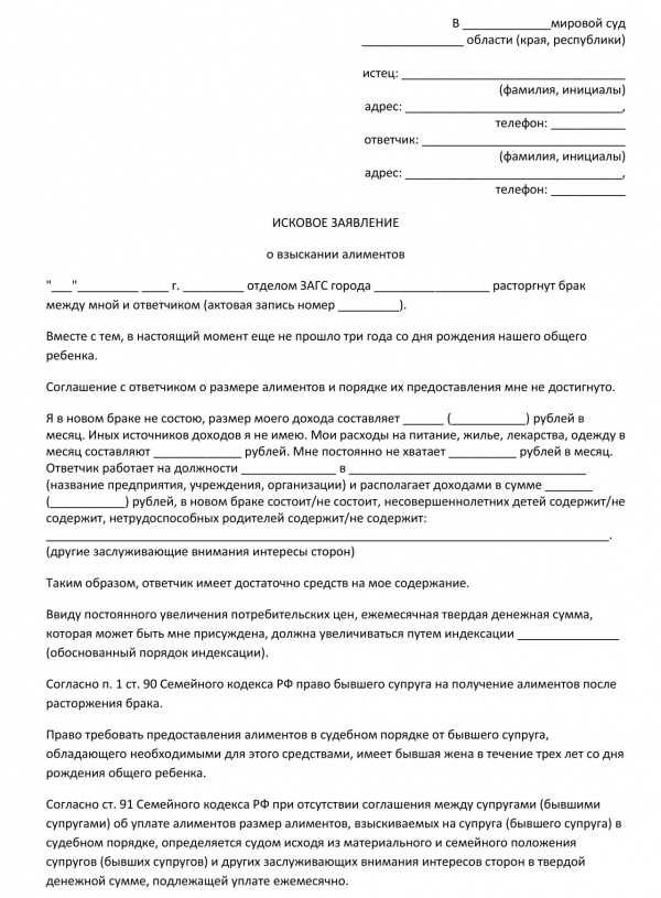
Иск в суд по взысканию алиментов составляется по правилам ст. 131 ГПК РФ. В заявлении не может содержаться описок, ошибок, несоответствий с документами.
Бланк можно получить в секретариате суда или скачать с проверенных интернет-источников. В тексте документа должны содержаться следующие сведения:

- наименование суда;
- Ф.И.О, адрес регистрации, паспортные данные истца и ответчика;
- название документа;
- суть дела с указанием данных ребенка;
- просьбы к суду;
- ссылки на нормативно-правовые акты, на базе которых подается иск;
- подпись и дата;
- перечень прилагаемых документов.
Какие нужно подать документы на алименты вне брака
При явке в суд потребуется приложение определенного набора документов:

- паспорт истца;
- свидетельство о рождении несовершеннолетнего;
- подтверждение об установлении отцовства или соответствующее решение суда;
- документы, отражающие наличие расходов на обеспечение несовершеннолетнего;
- бумаги, удостоверяющие наличие заработка у ответчика;
- иные документы, имеющие отношение к делу.
Где и как оплатить госпошлину
При обращении в суд родитель вступает в защиту интересов несовершеннолетнего. Он просит судебные органы обязать второго родителя выплачивать алименты не себе, а на содержание несовершеннолетнего. Именно поэтому по п.15 ст.333.36 НК РФ истец освобожден от выплаты госпошлины.
+7 (499) 288-73-46;
8 (800) 600-36-19
Это быстро и бесплатно!
Дорогие читатели! Наши статьи рассказывают о типовых способах решения юридических вопросов, но каждый случай носит уникальный характер.
Если вы хотите узнать, как решить именно Вашу проблему — обращайтесь в форму онлайн-консультанта справа или звоните по телефону:
+7 (499) 288-73-46;
8 (800) 600-36-19
Это быстро и бесплатно!
Процедура признания отцовства, если родители находятся в гражданском браке
Когда супруги находятся в официально зарегистрированном браке, вопрос о признании отцовства не встает. Если брак официально не зарегистрирован, то ситуация обратная. Для получения свидетельства о рождении с внесенными данными об отце, необходимо явиться матери и отцу в отделение ЗАГСа вместе не только для оформления документа о появлении ребенка на свет, но и признания отцовства.
Добровольное признание ребенка отцом
Когда брак зарегистрирован, в отделение ЗАГСа может явиться один из родителей, а при гражданском союзе обязательна явка обоих. Если отец добровольно согласен на установление факта отцовства, то действовать целесообразно следующим образом:
- Обоим родителям явится в отделение ЗАГСа. При себе необходимо иметь паспорта и справку о рождении из роддома.
- Отец подтверждает, что согласен на признание отцовства.
- Сведения о нем вносятся в документ о рождении, и выдается отдельный документ об установлении отцовства.
Процедура не занимает много времени, после ее осуществления у отца возникают все обязанности и права по отношению к ребенку.
Если отец не явился добровольно в отделение ЗАГСа для установления отцовства, то мать в интересах ребенка может потребовать этого через суд. В этом случае матери потребуется подать исковое заявление с соответствующей просьбой к суду. В процессе рассмотрения дела возможно 2 варианта:
- ответчик добровольно признает отцовство;
- суд проводит разбирательство с обязательным представлением истцом доказательств.
Порядок взыскания и способы получения алиментных выплат
Платежи на обеспечение несовершеннолетнего, взыскиваются независимо от факта нахождения в законных отношениях родителей. Есть два пути решения:
- Мирный. Применим, если родитель согласен на размер, периодичность и другие условия перечисления выплат.
- Судебный. Если родитель не желает добровольно совершать выплаты или несогласен с их размером и т. д.
В первом случае обеим сторонам достаточно явиться к нотариусу, составить и зафиксировать договоренности. Процедура осуществляется за один день, а документ, заверенный нотариусом, выступает основанием для подтверждения наличия обязанности по совершению выплат. Согласно условиям соглашения, плательщик совершает отчисления в пользу ребенка.
Во второй ситуации определение обязательств выплаты алиментов, их объема и порядка перечисления ложится на плечи суда. Второй родитель в интересах несовершеннолетнего подает иск в судебные органы, после рассмотрения дела, в случае вынесения положительного решения, начинается исполнительное производство. Приставы вправе взыскивать алименты принудительно путем удержания из заработка плательщика. Если нет подтвержденного источника дохода, взыскивается имущество в счет уплаты средств на обеспечение несовершеннолетнего.
Размер выплат
- количество совместных детей;
- наличие и размер официального дохода;
- дополнительные затраты на содержание несовершеннолетнего. Например, если имеется хроническое заболевание, которое требует лечения, то необходимо доказать объем затрат на него;
- наличие иждивенцев у потенциального плательщика;
- иные, заслуживающие внимания, обстоятельства.
Статья 81 СК РФ устанавливает следующие размеры платежей от дохода обязанного лица:
- ¼ — на одного несовершеннолетнего;
- 1/3 – на двоих;
- ½ — на троих и более.
Какие могут возникнуть сложности при подаче на алименты, если родители не состоят в браке
Главная проблема взыскания алиментов без наличия официальной регистрации брака – признание отцовства. Если в момент получения свидетельства о рождении, отец ребенка не явился в ЗАГС и отказывается от прохождения такой процедуры, придется обращаться в суд. В остальном могут возникать такие же сложности, как и в стандартном случае: отсутствие подтвержденного дохода у ответчика, уклонение от совершения выплат и т.д.
Вне брака можно подать на алименты. В этом случае возникают дополнительные проблемы, особенно, если родитель несогласен на признание отцовства. Подать на алименты в случае нежелания совершать выплаты добровольно, можно через суд.
+7 (499) 288-73-46 , Санкт-Петербург +7 (812) 317-70-86 или задайте вопрос юристу через форму обратной связи, расположенную ниже.
Список документов на алименты в гражданском браке

Перечень документов для подачи на алименты
Содержание ребенка до его совершеннолетия, а в некоторых случаях и после него – прямая обязанность его родителей, вне зависимости от того, состоят они в браке или нет. При этом если один из супругов не выделяет средств на воспитание ребенка, второй родитель вправе подать на алименты. Перечень необходимых для этого документов зависит от ряда обстоятельств.
Основные пути решения проблемы
Оформление алиментов может быть произведено такими путями, как:
- Заключение по обоюдному согласию на выплату алиментов.
- Оформление алиментов с помощью суда.
- Оформление алиментов совершеннолетними детьми.
При этом подать на алименты можно как будучи в браке, так и после развода. В зависимости от ситуации пакет документов будет несколько отличаться.
Соглашение по обоюдному согласию
Наиболее простым и быстрым способом считается обоюдное соглашение об уплате алиментов. Заключается оно у нотариуса при наличии следующих бумаг:
- Свидетельство о рождении ребенка.
- Паспорт обоих родителей.
- Справка о доходах за 3 последних месяца. Предоставляется лицом, которое будет выплачивать алименты.
- Свидетельство об установлении отцовства. Для этого необходимо обратиться в ЗАГС с просьбой предоставить выписку из реестра.
В судебном порядке
Второй вариант оформления алиментов наиболее частый. При этом неважно, состоят ли родители в браке или развелись, жили в гражданском браке.
К основным документам относится:
- Свидетельство о рождении и две его копии.
- Два оригинала искового заявления о взыскании алиментов.
- Паспорт истца.
- Справка из ЖЭКа, подтверждающая, с кем проживает ребенок и на чьем иждивении находится.
Основной документ для разбирательства в суде – иск. Он должен быть правильно составлен, в противном случае дело будет отклонено. В исковом заявлении на алименты указываются:
- Адрес и название суда.
- Полные данные обоих родителей:
— фамилии, имена, отчества;
— домашний адрес;
— паспортные данные.
Вот образец заявления:


- Свидетельство о расторжении брака. Прилагается в том случае, если на алименты подается уже после развода. Предоставляется оригинал и две копии.
- Выписка из домой книги или справка их ЖЭКа, подтверждающая проживание ответчика по указанному в заявлении адресу. Предоставляется в том случае, если истец и ответчик проживают по одному адресу. Необходимы оригинал и копия.
- Также может потребоваться номер банковского счета, на который в дальнейшем будут перечисляться алименты.
Документы для выплаты алиментов матери
В главе 14 «Семейного кодекса» РФ указано, что до достижения ребенком 3-летнего возраста или в случае беременности и нетрудоспособности, жена может подать на алименты, предназначенные для ее непосредственного содержания.
Для этого в суд представляются следующие документы:


Алименты на совершеннолетнего ребенка
Согласно закону, ребенок по достижению совершеннолетия имеет право взыскать алименты с родителей в случае своей нетрудоспособности
Зачастую причины этого:
- инвалидность;
- обучение в ВУЗе на дневном отделении.
Для взыскания средств на содержание подается:
- Исковое заявление по бланку:


Если лица состоят в браке
На алименты можно подать и находясь в браке, о том, как это сделать — читайте тут. К примеру, если отец не дает денег на содержание ребенка, а тратит их на себя.
В таком случае, в основном пакете документов подается свидетельство о браке, а не о разводе. Кроме того, необходимо предъявить доказательство того, что ответчик не содержит семью, составить список свидетелей.
Если свидетельство о браке утеряно, то его всегда можно восстановить, следуя этой инструкции .
Гражданский брак
Подать на алименты можно даже в том случае, если имеет место гражданский брак.
Пакет документов – тот же. Отличие состоит лишь в том, что не подается свидетельство о браке или разводе.
Кроме того, если в графе «Отец» в свидетельстве ребенка стоит прочерк, необходимо предварительно установить отцовство в суде и приложить к заявлению на алименты постановление суда.
В случае если ребенок был усыновлен отцом – бумага об усыновлении.
Видео: Взыскание алиментов и нужные документы
Более детально узнать об алиментах и документах для подачи заявления вы сможете из короткого видео:
Для подачи заявления на алименты необходимо подготовить пакет документов, к которым относятся паспорта родителей, свидетельство о рождении ребенка, бумаги, подтверждающие заключение или расторжение брака.
Перечень основных документов на алименты
Какие необходимы документы на алименты? Этот вопрос интересует каждого человека, которому пришлось столкнуться с необходимостью взыскания алиментных выплат с неблагонадежного супруга. Большинство российских граждан уверено в том, что подавать на алименты можно только при расторжении брака или после него. Однако российское семейное законодательство никак не связывает развод супругов с правом на материальное обеспечение. Родители должны содержать всех своих детей вплоть до достижения ими восемнадцатилетия (а в некоторых случаях и после наступления совершеннолетия). При этом не имеет значения, находятся они между собой в супружеских отношениях или расторгли свой брак. Помимо этого, трудоспособный муж обязан оказывать материальную поддержку своей жене (или бывшей жене), если та беременна или воспитывает ребенка в возрасте до трех лет. Если родитель или супруг уклоняется от своих законных обязательств, заинтересованная сторона имеет право требовать с него выплаты алиментов в судебном порядке, подготовив для этого все необходимые документы.

Алименты на детей до 18 лет
Перечень документов для подачи в судебные инстанции на взыскание алиментов на несовершеннолетнего ребенка будет отличаться в зависимости от того, состоят ли истец и ответчик в законном браке или уже успели оформить развод. Если супруги находятся в браке, тогда для подачи иска на алименты в пользу ребенка, не достигшего совершеннолетия, заинтересованной стороне необходимо будет отнести в суд, расположенный по месту фактического жительства ответчика, следующие документы:
- иск о взыскании алиментных выплат на несовершеннолетнего;
- свидетельство о вступлении в брак;
- свидетельство о рождении ребенка, в чью пользу будут выплачиваться алименты (если детей несколько, тогда свидетельства о рождении их всех);
- паспорт истца (копии всех основных страниц);
- справку, подтверждающую факт совместного проживания истца с ребенком (ее следует заказывать в паспортном столе);
- квитанцию об уплате госпошлины;
- справку о доходах с места работы алиментоплательщика (она нужна суду для определения размеров денежных выплат);
- любые бумаги, свидетельствующие об особых потребностях ребенка (справки об инвалидности, о необходимости санаторно-курортного лечения, квитанции об оплате занятий в платных кружках и прочее);
- реквизиты банковского либо лицевого счета истца (нужны для перечисления алиментов).
Читать еще: Что именно входит в общую площадь дома — бесплатная юридическая консультация онлайн
Если между родителями ребенка уже оформлен развод, тогда в перечисленном перечне документов свидетельство о вступлении в брак необходимо будет заменить свидетельством о расторжении брака и приложить дополнительно к папке с бумагами копию судебного решения о разводе, в котором указано, с кем из родителей остается жить несовершеннолетний.
В случае когда истец подает в суд одновременно на развод и на взыскание материальных выплат с супруга, тогда перечень документов для подачи на алименты должен выглядеть следующим образом:

- иск о разводе, в котором будут указаны требования о взыскании средств на содержание детей с ответчика;
- свидетельство о вступлении в брак;
- свидетельства о рождении всех отпрысков разводящейся супружеской пары;
- паспорт истца (копии всех основных страниц);
- справку с места работы ответчика о размере его доходов;
- документы, удостоверяющие инвалидность несовершеннолетнего (при наличии);
- квитанция об уплате госпошлины;
- реквизиты банковского либо лицевого счета алиментополучателя (для перевода денег).
Алиментные права совершеннолетних граждан
Право на содержание от своих родителей имеют не только несовершеннолетние дети. В некоторых случаях взыскание алиментов с родителя проводится и в пользу детей, достигших 18 лет, если те являются нетрудоспособными и не могут себя самостоятельно обеспечить. Список документов, необходимый судебным органам для принятия решения о начислении алиментных выплат на содержание совершеннолетнего человека, выглядит примерно так:

- исковое заявление с требованием об удержании части доходов ответчика в пользу совершеннолетнего нетрудоспособного ребенка;
- паспорт истца, представляющего интересы совершеннолетнего;
- паспорт нетрудоспособного гражданина, которому полагается материальное обеспечение;
- квитанция об уплате госпошлины;
- бумаги, подтверждающие нетрудоспособность совершеннолетнего;
- документы, свидетельствующие о том, что человек нуждается в материальном содержании (нужно представить судье справки о размерах социальных выплат, выписки из медицинской карты, указывающие на то, что ему необходимо лечение, аптечные чеки и другое);
- реквизиты счета, на который будут перечисляться выплаты.
Суд может отклонить иск о взыскании с ответчика алиментов на содержание нетрудоспособного взрослого гражданина, если заявителем не будет предоставлено суду достаточно фактов, свидетельствующих о непростом материальном положении совершеннолетнего, поэтому к подготовке документов нужно подойти основательно.
Оформление алиментов беременными женщинами и молодыми матерями
Беременная женщина или мама, находящаяся в декретном отпуске по уходу за малышом, которому не исполнилось 3 лет, также имеет право подать на алименты в случае, когда супруг не желает ее обеспечивать. Она может сделать это, находясь с ним в браке, при подаче документов на развод и даже после того, как расторжение брака состоялось.
Если женщина состоит с ответчиком в семейных отношениях, тогда для подачи на алименты ей понадобятся:
- исковое заявление о взыскании денежных выплат с мужа в ее пользу;
- свидетельство, подтверждающее пребывание заявителя в законном браке с ответчиком;
- свой паспорт с копиями основных его страниц;
- справка из женской консультации о беременности или свидетельство о рождении малыша, которому еще не исполнилось трех лет (один из этих документов нужен обязательно);
- квитанция, подтверждающая уплату госпошлины;
- реквизиты счета, на который будут переводиться деньги, отчисляемые с доходов супруга.
Если женщина подает на алименты параллельно с разводом, тогда в исковом заявлении о расторжении брака ей нужно будет указать об этом. Перечень документов при этом не изменится. В случае когда иск в суд с требованием о начислении алиментов подан женщиной после того, как состоялся развод, ей нужно тогда вместо свидетельства о браке предоставить работникам суда свидетельство о расторжении брака и копию судебного решения.
Список документов, необходимых для взыскания алиментов с ответчика, в каждом отдельно взятом случае может отличаться.
Для того чтобы правильно собрать все нужные бумаги и правильно составить исковое заявление на алименты. истцу нужно воспользоваться услугами квалифицированного адвоката.
Все еще остались вопросы?
Позвоните по номеру 8 (800) 333-45-16 (доб. 147) и наш юрист БЕСПЛАТНО ответит на все Ваши вопросы
Какие документы нужны чтобы подать на алименты в гражданском браке?
Вопрос:какие документы нужны для подачи на алименты при гражданском браке?
Ответ: В случае если супруги не пожелали официально оформлять свои отношения в ЗАГСе, то это принципиально ничем не отличатся от ситуации при зарегистрированном браке – родители также, в соответствие с семейным кодексом обязаны заботиться о своем общем ребенке. Единственным отличием и сложностью может явиться определение отцовства. Он прописывается либо добровольно с согласия отца в свидетельстве о рождении ребенка, либо устанавливается в судебном порядке.
Итак, какие документы нужны для подачи на алименты в гражданском браке?
Какие документы нужны чтобы подать на алименты в гражданском браке

Финансовое обеспечение нетрудоспособных родственников закреплено в законе. Однако лица, проживающие совместно на протяжении длительного срока и не регистрирующие официальный брачный союз, не входят в состав родственников. Потребность материальной поддержки может возникнуть как у нетрудоспособного сожителя, так и у ребенка. Как взыскать алименты в гражданском браке?
Что нужно, чтобы подать на алименты, не находясь в браке
Право на алименты возникает у ребенка, как следствие реализации имущественных интересов детей и обязанностей родителей по обязательной финансовой поддержке. Материальное содержание является одним из составляющих родительских обязанностей.
Обязанность появляется при рождении ребенка и длится до его восемнадцатилетия или усыновления. Других законных причин для автоматического прекращения материальной поддержки нет.
Возникновение родительских прав не зависит от того, находятся мама и папа ребенка в официально зарегистрированном браке или нет. Наличие брачного союза упрощает процесс оформления отцовства, однако не является обязательным условием.
Если родители состоят в браке, отец записывается в документы несовершеннолетнего по штампу в паспорте матери. С этого момента у супруга возникают все права и обязанности по отношению к новорожденному. Аналогично обстоит ситуация, если ребенок родился в течение 10 месяцев со дня развода.
В настоящее время все чаще граждане заводят семью без официальной регистрации брака. В такой ситуации права и обязанности отца в отношении ребенка появляются после проведения определенной процедуры, которая называется установление отцовства. Она может проводиться следующим образом:
- по совместному заявлению матери и отца;
- по судебному решению.
Если мать и отец добровольно желают установить отцовство, то они обращаются с совместным заявлением в районный отдел загс по месту проживания семьи. В результате специалисты внесут изменения в запись о рождении несовершеннолетнего и выдадут измененный документ о рождении.
Если один из родителей выступает против установления отцовства, то вопрос подлежит решению в судебном порядке. Для этого подается исковое заявление. К нему прилагается доказательная база. В качестве одного из видов доказательств может применяться генетическая экспертиза. Изменения в документы несовершеннолетнего вносятся специалистами районного отдела ЗАГС на основании решения суда.
Альтернативным вариантом появления родительских прав является усыновление. Если мужчина, сожительствующий с матерью ребенка, усыновляет его, то у него возникает полный спектр прав и обязанностей родителя, в том числе и материально обеспечивать его.

Можно ли подать на алименты без брака?
Чтобы ответить, может ли гражданская жена подать на алименты, необходимо выяснить, признал ли отец своего ребенка.
Если мужчина подал официальное заявление в загс для установления отцовства или усыновил ребенка, то он является обладателем прав и обязанностей отца в его отношении.
В противном случае существуют следующие варианты для материального обеспечения несовершеннолетнего за счет биологического отца:
- нотариальное соглашение;
- установление отцовства в судебном или добровольном порядке.
Рассмотрим подробнее, как взыскать алименты при гражданском браке на совместного ребенка.
Установление отцовства
Закон предусматривает признание ребенка без заключения официального союза с его матерью. Процесс зависит от мнения мужчины. Возможны следующие варианты:
Для добровольного процесса установления отцовства необходимо согласие матери ребенка. Родители должны совместно подать заявление о внесении изменений в записи о рождении несовершеннолетнего.
Мать и отец оплачивают госпошлину и подают прошение в районный отдел загс. Отец имеет право изменить ребенку фамилию и отчество. Несовершеннолетний получает новое свидетельство о рождении.
Важно! После достижения 10 лет, родители должны уточнить у ребенка возможность изменения личных денных.
Если сожитель отказывается признавать несовершеннолетнего в качестве официального ребенка, то единственным вариантом является установление отцовства в судебном порядке. Для этого мать или отец должны подать иск в районный/городской суд по месту проживания ответчика. В качестве ответчика выступает родитель, который против установления отцовства.
Закон предусматривает рассмотрение судом различных видов доказательств. При этом самым точным является результат генетической экспертизы. Проведение теста ДНК назначается судом. Оплата исследования возлагается на сторону, проигравшую процесс.
Алиментное соглашение
Алименты в гражданском браке могут выплачиваться как в принудительном порядке, так и по взаимной договоренности сторон. Мать и отец имеют право установить размер и порядок выплат в добровольном порядке. В таком случае стороны заключают соглашение.
Документ оформляется в письменном виде. Обязательным условием является его заверка нотариусом. В результате соглашение приобретает силу исполнительного документа.
Соглашение может предусматривать выплату содержания в следующих видах:
- процентное соотношение ко всем видам доходов;
- фиксированная сумма ежемесячно;
- твердая сумма однократно;
- передача в собственность ребенка крупного имущества;
- смешанная форма выплат.
Процентное соотношение ко всем видам дохода является непопулярной формой выплаты для соглашения. Расчет уровня дохода возлагается на алиментоплательщика. Такой вариант может породить злоупотребления со стороны отца и нарушать имущественные интересы несовершеннолетнего.
Ежемесячная выплата денежных средств в виде фиксированной суммы является самым распространенным вариантов оплаты. Сумма устанавливается на усмотрение сторон. Минимальный размер ограничивается ¼ долей от всех видов доходов.
Если плательщик не имеет постоянного источника дохода, но является обладателем крупного денежного вклада, то возможно оформить выплату финансового обеспечения однократно. Соглашение предусмотрит отказ от претензий со стороны получателя. Документ предусматривает и другие условия, относительно денежных средств. Возможен их перевод на счет несовершеннолетнего или на номинальный счет матери.
Гражданин имеет право передать в счет алиментов имущество, например, квартиру или автомобиль. Для оформления соглашения необходимо согласие второй стороны. Если ребенок, которому предназначается содержание, достиг 14 лет, то соглашение составляется с ним. При этом мать дает согласие на совершение сделки.
Соглашение может предусматривать различные формы выплат алиментов на содержание матери ребенка в гражданском браке одновременно. Для этого необходимо достижение общего мнения между родителями ребенка.
Судебное взыскание алиментов
В ситуации, когда общее мнение родителями не достигнуто, финансовое обеспечение взыскивается в судебном порядке. Закон предусматривает возможность урегулирование вопроса следующим образом:
- мировой суд (приказное производство);
- районный/городской суд (исковое производство).
Если мужчину уже признал ребенка, но не желает выплачивать денежные средства для его обеспечения, то мать может взыскать их через суд. Заявление подается мировому судье. Документ рассматривается без участия сторон. Результатом рассмотрения является судебный приказ. Ответчик может исполнять его добровольно или принудительно (через ФССП).
При гражданском браке между матерью и отцом, условие о взыскании материального содержания является одним из требований при установлении отцовства. Заявление подается в районный/городской суд.
Важно! Вне зависимости от периода, в течение которого будет длиться судебная тяжба, денежные средства будут назначены с момента подачи заявления к рассмотрению.
Исковое заявление о взыскании алиментов без брака (образец)
Подача на алименты в гражданском браке мало отличается от требования материального обеспечения между официальными супругами. При наличии оснований, женщина подготавливает пакет документов и составляет исковое заявление.
Рассмотрим образец заявления на алименты в гражданском браке:
- информация о суде;
- данные гражданской супруги (Ф.И.О., дата рождения, данные паспорта, адрес прописки и фактического проживания, номер телефона);
- аналогичная информация о гражданском муже;
- наименование заявления;
- данные ребенка (Ф.И.О., дата рождения);
- информация об установлении отцовства (реквизиты документов);
- подробное описание причин требования;
- ссылка на законодательство;
- требования о взыскании материального обеспечения;
- порядок взыскания средств;
- опись приложения;
- дата, подпись.
Информация о суде различается в зависимости от того, в какой суд подается заявление (мировой или районный). Документ подается в суд по месту проживания гражданского супруга или несовершеннолетнего ребенка, для которого взыскиваются средства.
В качестве описания причин необходимо указать, что гражданский супруг уклоняется от материального обеспечения сына или дочери. Не участвует в расходах на ее содержание, питание, обучение.
В качестве ссылки на законодательство указывается статья 80 СК РФ.
Заявитель самостоятельно определяет, как необходимо удерживать средства (в процентном соотношении или твердой суммой). Если женщина хочет получать содержание на ребенка в виде фиксированной суммы, она должна пояснить свою позицию в суде.
Иск об установлении отцовства и взыскании алиментов можно скачать здесь
Список документов на алименты в гражданском браке включает:
- личные документы сторон и ребенка (паспорта, документ о рождении);
- информацию об усыновлении или установлении отцовства;
- справка с места работы о доходах гражданской супруги;
- информация о доходах гражданского мужа;
- справка о составе семьи или выписка из домовой книги.
Важно! Если отцовство устанавливалось в судебном порядке, то родители должны предъявить решение суда в районный отдел загс и получить свидетельство об установлении отцовства и новый документ о рождении ребенка.
В качестве документа об установлении отцовства или усыновлении необходимо приложить свидетельства, выданные районным отделом загс. Суд не предъявляет требования по предоставлению судебных решений.
Читать еще: Как изменить категорию земли в Подмосковье
Размер алиментов, если не расписаны
Внебрачные дети имеют такие же права и обязанности по отношению к родителям, как и рожденные в браке. Если отцовство установлено в законном порядке, то размер материального содержания идентичен тому, который получил бы несовершеннолетний, появившийся после бракосочетания.
При оформлении нотариального соглашения, мать и отец самостоятельно устанавливают размер и порядок выплат. Закон определяет только минимальный уровень. Остальные вопросу решаются на усмотрение сторон.
Если материальное обеспечение взыскивается через суд, то средний размер содержания составляет:
- если ребенок один – ¼ часть;
- если у сторон 2 совместных ребенка – ⅓часть;
- если у родителей 3 более совместных детей – ½ часть.
Сумма рассчитывается от совокупного дохода плательщика. Из общей суммы предварительно вычитается НДФЛ.
Если гражданин сможет доказать, что установленная судом сумма является для него непомерной нагрузкой, то она может быть уменьшена до ⅙ части. В качестве основания указывается появление новых детей, других иждивенцев, уменьшение дохода и другие причины.
Размер фиксированной суммы устанавливается судом исходя из информации о доходах сторон. Такой вариант рассматривается, если алиментоплательщик имеет нерегулярный или сезонный доход.
Когда начисляются алименты, если брак не зарегистрирован?
Алиментные обязательства на детей, если брак между родителями не зарегистрирован, начинают начисляться с момента подачи иска в суд. Если отец признал несовершеннолетнего, то все выплаты устанавливаются в общем порядке.
Особо стоит рассмотреть вопрос, может ли гражданская жена подать на алименты на себя. Сожители не имеют права требования денежного содержания по аналогии с бывшими супругами. Однако, если пара проживает вместе длительный промежуток времени, женщина может быть признана иждивенцем. Для этого необходимо сочетание определенных условий. Женщина должна:
- проживать совместно с алиментоплательщиком;
- вести с ним общее хозяйство;
- быть зарегистрирована по одному адресу с сожителем;
- иметь инвалидность или быть признана временно нетрудоспособной.
Заявление подается в мировой суд по месту проживания сожителей. Сумма назначается судом исходя из нуждаемости женщины. Аналогично взыскиваются алименты на гражданского мужа.
Обязанность по материальному обеспечению ребенка или сожителя возлагается на граждан вне зависимости от заключения брачного союза. Содержание несовершеннолетнего назначается при установлении отцовства или усыновлении ребенка. Для взыскания средств на сожителя необходимо признать лицо иждивенцем гражданина.
Алименты на ребенка, рожденного вне брака
На детей, появившихся на свет в гражданском браке (то есть не зарегистрированном в органах ЗАГС) распространяются такие же имущественные и неимущественные права, как и на детей, которые родились в официально созданной семье. И мать вправе требовать от биологического отца средства на его содержание при условии соблюдения всех правил, установленных для таких ситуаций законом.
- 8 (800) 600-36-07 – Регионы
- +7 (499) 110-86-72 –Москва
- +7 (812) 245-61-57 –Санкт-Петербург
Законодательство
Вопросы алиментного содержания в целом относятся к области семейного права.
Потому законодательную база этого вопроса составляет Семейный Кодекс РФ.
В браке, где основным доказательством того, что ребенок имеет право на алименты, служит сам факт того, что союз мамы и папы законно зарегистрирован. И в случае развода родителей, отцом все равно будет оставаться официальный муж матери.
При отсутствии же факта регистрации брака в органах ЗАГС, необходимо провести процедуру признания отцовства через суд, об этом говорится в СК РФ.
После чего официально признанный отец ребенка будет обязан выплачивать на него алименты.
Как определяется размер выплат
При отсутствии между родителями ребенка заключенного соглашения об уплате алиментов, где был бы прописан размер выплат, суд выносит решение согласно статье 81 СК РФ, о том, что с родителя будут ежемесячно взыскиваться алиментные платежи в таком процентном соотношении от его общего официального дохода:
- до 25% — на одного ребенка (или ¼);
- до 33,33% — на двух детей (или 1/3);
- до 50% — на 3-х и более детей (или ½).
Конкретный размер алиментов в гражданском браке суд устанавливает по результатам изучения материального положения родителя и прочих обстоятельств, которые могут повлиять на это.
Помимо этого, если у родителя отсутствует постоянный заработок, либо размер дохода нестабилен, суд может принять решение о назначении алиментов в твердом размере или указать, что ежемесячно будет взыскиваться твердая денежная сумма и процент от всех имеющихся заработков.
В том случае, когда суд решает взыскать алименты в твердом размере, сумма выплат рассчитывается с учетом минимального заработка в регионе и прожиточного минимума на ребенка.
Как оформляются алименты
Алименты при отсутствии законного брака могут быть назначены к уплате:
- в результате заключения соглашения между родителями на добровольных началах;
- путем взыскания по судебному приказу;
- через суд (путем подачи исковое заявление).
Далее будет рассмотрен каждый из этих способов.
Добровольное соглашение
В этом случае маме и папе можно договориться и заключить алиментное соглашение, в котором очень важно прописать:
- Сумму платежей.
- В каком порядке будет рассчитываться сумма. Это может быть твердая денежная сумма или процент от заработка отца.
- Периодичность выплаты алиментов.
- В каком порядке будут передаваться деньги (наличными, на банковский счет, почтовым переводом, удержанием из зарплаты и т.п.)
Подписанное соглашение следует заверить в нотариальной форме, обратившись за этим в любую нотариальную контору.
Это необходимо сделать, так как удостоверяющая подпись нотариуса на соглашении приравнивает этот документ к исполнительному листу, с которым можно обратиться для взыскания алиментов к судебным приставам, если вдруг обязанный родитель откажется платить алименты.
Судебный приказ
Если это мать ребенка, то она вправе взыскать алименты таким способом только если:
- отец ребенка не отрицает свою кровную связь с несовершеннолетним, либо его имя уже вписано в свидетельство о рождении в специальной графе (нет необходимости доказывать факт отцовства);
- если между родителями отсутствует спор о том, с кем будет в дальнейшем жить ребенок.
При наличии этих условий подается заявление в суд по месту прописки матери ребенка с приложением документов, о которых будет сказано подробно далее.
Исковое заявление
Исковое заявление подается мировому судье по месту жительства ребенка.
Иск представляет собой документ, который составляется заявителем (родителем, желающим взыскать алименты), в котором нужно отразить особые обстоятельства, которые будут при рассмотрении дела судом влиять на итоговый размер взыскиваемых алиментов:
- данные о доходах родителя, который обязан платить алименты;
- сведения о родителе, который содержит ребенка в данный момент времени и вместе с ним проживает;
- факт нетрудоспособности родителя, подающего иск (если таковой имеется);
информация об отсутствии у ребенка собственного жилья; - упоминания о непредвиденных случаях (пожар, кража имущества и т.п.);
- заключение, подтверждающее, что несовершеннолетнему необходим дополнительный уход по каким-либо объективным причинам.
Помимо вышеперечисленного, в исковом заявлении должны присутствовать стандартные атрибуты формы.
- В шапке заявления пишется наименование суда и Ф.И.О. судьи, кому оно направляется, а также указываются Ф.И.О., адрес проживания (прописки) и информация о контактах истца, ответчика, представителя истца (если за его помощью обращается истец).
- Наименование заявления указывается как «исковое заявление о взыскании алиментов на ребенка (детей)».
- В конце заявления пишется просительная часть, где указывается «прошу взыскать с (Ф.И.О. родителя, с кого взыскиваются алименты) в пользу истца на содержание (Ф.И.О. ребенка) алименты в размере (указать долю) от всех видов заработка и других доходов ежемесячно, начиная с даты подачи искового заявления и до достижения ребенком 18 лет.».
- Дата и подпись истца (или представителя по доверенности).
При рассмотрении искового заявления в судебном заседании, судья может попросить заявителя предъявить оригиналы всех приложенных документов для обозрения и заверения находящихся в деле копий.
Подавая иск в суд, истцу нужно быть готовым к тому, что ответчик (например, отец ребенка) представит отзыв на иск, в котором представит свое видение ситуации и приложит имеющиеся у него доказывающие документы.
И только потом на основании всех представленных обеими сторонами доказательств судья примет решение об оптимальном размере алиментов на ребенка, чтобы ответчик мог их выплачивать соразмерно своим доходам.
Документы для оформления алиментов в гражданском браке
Пакет документов необходимо будет подготовить для подачи в суд заявления о выдаче судебного приказа или иска, чтобы судебный орган официально обязал родителя выплачивать алименты.
Для того чтобы и то и другое заявление были приняты к рассмотрению судом, нужны следующие документы:
- паспорт гражданина-истца (если он лично подает иск);
- свидетельство о рождении ребенка;
- справка о составе семьи по месту регистрации ребенка;
- справка о доходах;
- заявление об установлении отцовства (необходимо, только если подается иск);
- само исковое заявление или заявление на выдачу судебного приказа (подписанное лично заявителем, либо представителем);
- доверенность на представителя (если таковой будет подавать иск вместо заявителя).
Что собой представляет заявление об установлении отцовства
Если не подать такое заявление (при условии того, что и отец ребенка не хочет признавать свое кровное родство с ним) вместе с иском, то матери ребенка придется отдельно в судебном порядке доказывать факт отцовства.
Это будет сделать гораздо сложнее, так как суду нужно будет доказать факт того, что ребенок проживал вместе с отцом, привлекать к делу свидетелей для подтверждения ведения совместного быта и наличия близких отношений и т.д.
За экспертизу придется заплатить отцу ребенка, если все же суд в итоге признает наличие кровного родства. А это довольно дорогостоящая услуга. Следует помнить также и о том, что если вдруг отец отказывается предоставлять для экспертизы образец генетического материала, суд праве будет признать за ним отцовство и без этого доказательства.
Вам тяжело пережить развод? Читайте нашу статью, она поможет вам побороть депрессию.
Вы с мужем купили квартиру в ипотеку, а теперь придется ее разделить, так как вы развелись? Описание решения этого сложного вопроса вы найдете здесь.
Порядок взыскания алиментов
Исходя из способов, через которые можно обязать родителя платить алименты на ребенка в гражданском браке, взыскание алиментов производится на основании:
- вынесенного судьей судебного приказа;
- выданного судом исполнительного листа;
- нотариально заверенного алиментного соглашения.
Взыскание алиментов происходит через судебных приставов, куда и подается заявление о возбуждении исполнительного производства с обязательным приложением одного из перечисленных документов.
Вынесенное судебное решение обретает законную силу и, если оно не оспаривается ответчиком, на основании него будет выдан исполнительный лист, который может быть подан в один отделов ССП по месту прописки ответчика в течение 3 лет с того дня, когда его выдал суд.
Аналогично следует поступить с алиментным соглашением, если отец отказался добровольно содержать ребенка.
После подачи заявления к приставам с приложенным официальным документом,
сотрудники канцелярии отдела его регистрируют и передают его к судебному приставу-исполнителю, который возбуждает дело. Далее приставы уведомляют отца о том, что в отношении него возбуждено дело и что он обязан платить алименты. Если должник не хочет сам выплачивать эти деньги на содержание ребенка, приставы обращают взыскание на официальный доход отца или на его имущество, если законных источников заработка у него не имеется.
Наиболее важными моментами при решение вопроса о взыскании алиментов на ребенка, рожденного в гражданском браке, являются:
- такой ребенок обладает аналогичными правами на свое содержание, что и дети, рожденные в браке;
- при взыскании алиментов с отца, нужно сначала установить его отцовство в официальном порядке;
- если родитель записан в свидетельстве о его рождении, это уже подтверждает его кровное родство;
- право требовать от родителя алименты возникает из трех оснований: алиментное соглашение, исполнительный лист и судебный приказ.
Не нашли ответа на свой вопрос? Звоните на телефоны горячей линии. 24 часа бесплатно!
Какие документы нужны, чтобы подать на алименты в гражданском браке
В законодательстве России не предусмотрен Гражданский брак, но многие пары не готовы на бракосочетание, поэтому малыш может быть рожден вне брака. Но пара, которая проживает совместно и имеет общего малыша, считается находящейся в гражданском браке.
Даже если свадьба не смогла состояться, у пары может родиться ребенок, в этом случае мать имеет право подать на мужа иск в суд для присуждения алиментных выплат. Это происходит в том случае, если гражданские супруги прекращают совместное проживание и перед женщиной встает вопрос, какие собрать документы, чтобы подать на алименты в гражданском браке? Стоит рассмотреть этот вопрос подробнее.
Основания для подачи на алименты в гражданском браке
Обратите внимание! Если малыш был рожден у пары, которая не состоит в официальных отношениях, он имеет такие же права, как и дети законных супругов.

Какие документы нужны, чтобы подать алименты в гражданском браке
Если обратиться к семейному кодексу, то в нем прописано, кто может подавать заявление на получение денежных выплат. Подать на алименты могут:
- родители, по отношению к детям;
- супруги друг на друга;
- дети, по отношению к родителям или опекунам.
Когда в суд поступает иск о взыскании денежной суммы на воспитание малыша от одного из родителей, обращают внимание на такие факторы, как:
- возраст ребенка;
- материальное положение каждой из сторон;
- в каком семейном положении на данный момент находятся бывшие супруги.
В 2018 году написать заявление на получение компенсации можно только в том случае, если ребенку не исполнилось 18 лет. До достижения совершеннолетнего возраста, родители обязаны содержать своего ребенка полностью, после этого алименты не уплачиваются.
Важно! Существует несколько исключений из правил, например, на получение средств от родителя, документы могут подаваться в том случае, если ребенок должен закончить обучение на дневной форме. Также выплаты продолжаются и после 18 лет, когда установлена инвалидность, в этом случае уплата средств может продолжаться до конца жизни родителя. По закону отец может выплачивать компенсацию на ребенка в течение всей жизни, если мать малыша получила инвалидность первой группы.

Куда мать может обратиться
Чтобы решить проблему быстро, следует сразу уточнить и собрать перечень документов на алименты в гражданском браке. Но кроме этого есть возможность урегулировать вопрос мирно, подписав соглашение, в котором будет указана сумма ежемесячной выплаты на содержание ребенка. В таком документе оба родителя прописывают сумму перечисления и ее периодичность. Такое соглашение вступает в силу сразу после того, как обе стороны его подпишут.
Читать еще: Определение и состав общего имущества в многоквартирном доме, База знаний РосКвартал®
В том случае, когда договориться о перечислениях не получается, женщине придется обратиться в суд. Если у обеих сторон не будет разногласий, то спустя пять дней, судья примет решение по вопросу. Встречаются случаи, когда установить точный доход отца не получается, в такой ситуации устанавливают твердый эквивалент выплаты. Кроме этого мать имеет право возместить средства за предыдущие годы, тогда подавать справки следует в мировой суд.
Заседания такого типа длятся дольше, при этом они сложнее, поэтому привлекают сразу две стороны. Результат будет более положительным для матери, если мужчина старается скрыть свои реальные доходы, или же несколько лет уклоняется от уплаты средств. Когда соглашение в мировом суде не достигнуть, истец обращается в районный суд, здесь все споры будут урегулированы в принудительном порядке.

Требования для подачи заявления на алименты
Перечень документов, требуемых для подачи на алименты в гражданском браке
В документах должен присутствовать иск. Можно рассмотреть образец заявления на алименты на содержание ребенка без брака, чтобы правильно составить бумаги. Кроме этого, женщина имеет право получить не только компенсацию на ребенка, но и денежные средства на свое содержание, если она находится «в положении» или ребенку нет трех лет.
Список необходимых документов:
- документация, подтверждающая оплату суммы госпошлины;
- свидетельство о рождении малыша;
- копия паспорта истца;
- справка о беременности (если таковая имеется);
- справка о частичной или полной недееспособности;
- копия банковского счета, для перечисления выплат.

Образец написания заявления, если родители не состоят в официальном браке
Важно использовать образец искового заявления о взыскании алиментов на ребенка вне брака, чтобы правильно оформить бланк. Можно найти подходящий шаблон в интернете, или обратиться в суд, чтобы получить форму. От качества написанного иска будет зависеть, примут ли дело к рассмотрению. Есть несколько основных правил, которые должны соблюдаться. Пример:
- заявление должно иметь вступительную часть;
- далее описывается основная проблема;
- истец просит разобраться в данном вопросе;
- прикладываются необходимые документы и справки.
В содержание первой части входит то, в какую организацию подается прошение. Также здесь отмечают участников искового заявления, обязательно прописывают полные имена, фамилии и отчества. Дополнительно отмечается место проживания сторон.
Основная часть считается самой объемной и важной, здесь излагаются только факты и обстоятельства, по которым подается иск. Все события подаются в хронологическом порядке, следует указать, когда пара начала проживать вместе, и в какое время появился совместный ребенок. Если отец не хочет признавать малыша, этот факт указывается в заявлении. Здесь же мать описывает, оказывает ли мужчина финансовую помощь в воспитании ребенка.
Вопросительная часть состоит из того, чего именно истец хочет добиться, подавая бумаги в суд. Если отцовство не установлено, это следует обязательно сделать. Далее мать указывает требуемую сумму, объясняя при этом из каких подсчетов была взята такая цифра.

Какую сумму компенсации женщина имеет право получить
Если заявление на алименты без брака написаны по образцу, то суд должен назначить денежную компенсацию на содержание ребенка. При составлении соглашения, количество средств, поступающих на счет женщины, будет оговорено обеими сторонами.
В том случае, когда истец обращается в суд, решение выносится согласно законам. В таком случае существуют четкие нормы выплат, которые не зависят от того, находятся ли супруги в браке или сожительствуют неофициально. Существует правило, по которому отец выплачивает своему ребенку 25% от заработной платы каждый месяц. Если в семье двое детей, то сумма увеличивается до 33%, на трех детей взыскивают 50% от месячного дохода. При этом суд должен учесть как потребности, так и финансовые возможности каждой стороны.
Обратите внимание!Когда доход непостоянен, судья может назначить оплату не в процентном соотношении, установив фиксированную компенсацию. Расчет производят на основе минимальной заработной платы в определенном регионе. Если денежные средства не будут поступать на счет истца после вынесения решения, женщина имеет право подать жалобу, тогда алименты будут взиматься принудительно.
Мать имеет право также получить те денежные средства, которые мужчина не выплачивал ребенку ранее. По закону разрешено взыскать алименты за три предшествующих года. К основному исковому заявлению обязательно прилагается перечень документов. В конце ставится дата оформления этого бланка и подпись истца.
Независимо от того, проживала ли семейная пара до развода в гражданском браке или в официальном, наличие ребенка обязывает отцамать выплачивать алименты на его содержание.
Соглашение об уплате алиментов в гражданском браке

Designed by Freepik
Основной обязанностью родителей является воспитание их несовершеннолетних детей и обеспечение материальных потребностей малышей.
Помимо моральной составляющей, вопрос регулируется на законодательном уровне, в частности, СК РФ. Ситуации, которые возникают в связи с защитой прав детей, решаются исключительно в судебном порядке. Чаще всего такое происходит при расторжении супругами брака или удержания с бывшего партнера алиментов.
Форма, размер и порядок удержания выплат также определяются судом согласно действующим правовым актам. В соответствии с ними установлен и перечень обязательных для формирования иска бумаг. Однако какие документы нужны чтобы подать на алименты в гражданском браке?
Может ли опекун обратиться за выплатой от сожителя?
В случае расторжения гражданских отношений мужчина не обременен необходимостью содержать свою вторую половинку. Иначе дело обстоит, если в семье появился малыш. Дело в том, что дети, рожденные у родителей, являющихся сожителями, имеют такие же права, как и несовершеннолетние в семьях, созданных посредством официальной регистрации брака (ст. 53 СК РФ).
Когда женщина получает отказ в содержании малыша от бывшего партнера, она вправе обратиться в суд с ходатайством о взыскании с него алиментных выплат.
Получение средств с родителя производится двумя способами: через соглашение и в принудительном порядке через суд.
Важно! Если после рождения малыша на руки был выдан документ, в котором прописаны оба родителя, то взыскание алиментов пройдет в упрощенном режиме.
С целью установления отцовства отец ребенка должен написать соответствующее заявление в ЗАГСе. Чаще всего родитель отказывается от подачи документа из-за невозможности посетить ЗАГС или намеренно отказывается признавать малыша.
В подобной ситуации в графе об отце ставится прочерк. Получить выплаты становится намного сложнее. Во-первых, если партнеры готовы пойти на мирное разрешение вопроса, супругу потребуется сформировать заявление в ЗАГС на признание отцовства. Во-вторых, при подаче иска, женщина должна представить в адрес инстанции доказательства о том, что именно ее бывший сожитель является папой несовершеннолетнего. Суд вправе назначить экспертизу по ходатайству матери.
Вопрос:
Какова сумма, которую при разводе будет получать истец?
Ответ:
Алименты устанавливаются в отношении супруга в долевой форме. К заработку относятся средства, поступающие от исполнения обязанностей на рабочем месте, иные доходы.
Сумма, перечисляемая на содержание малыша, зависит от числа детей.
По закону максимальные выплаты составляют 50% от общей величины дохода алиментщика. Вместе с тем согласно СК РФ допускается отступление от удержания выплат частями. В ряде случаев они заменяются твердой денежной суммой.
Особенности удержания алиментов
Размер взысканий не зависит от способа регистрации союза между партнерами. Алиментные споры решаются исключительно в судебном порядке.
Бывают случаи, когда партнеры договариваются о распределении обязанностей, связанных с содержанием детей. Однако их также придется закреплять в суде. Это необходимо для защиты несовершеннолетних и соблюдения прав алиментщика
При выплате средств на содержание малыша по устной договоренности, опекун может через некоторое время подать заявление на установление выплат на формальном уровне.
В каком порядке устанавливается отцовство?
Согласно семейному законодательству мать несовершеннолетнего, которая состояла в официальном браке со своим бывшим супругом получает от него выплаты в соответствии с судебным решением. При этом мужчина сразу признается отцом малыша. От него не требуется согласия и заявления.
При гражданском браке все происходит несколько иначе. Подача документов в ЗАГС допускается только при добровольном согласии партнера.
Для этого потребуются паспорта обеих сторон, заявление, в котором указывается согласие папы малыша. Если мужчина против установления отцовства, то статус можно изменить только через суд.
Важно! Супруг может признать отцовство даже в том случае, если несовершеннолетний не является его биологическим ребенком.
Если мужчина на момент признания малыша не обладал сведениями о том, что последний не является его ребенком, то он вправе отказаться от отцовства. Признание родства производится в судебном порядке. Стоит помнить, что положительное решение принимается только в случае предоставления заявителем весомых доказательств своей неосведомленности.
В соответствии с действующими правовыми актами деньги, которые взыскал суд до признания мужчины отцом, являются безвозвратными.
Пакет бумаг, необходимый для удержания выплат с гражданского супруга
Для взыскания алиментов с бывшего супруга нужно собрать ряд документов и приложить их к заявлению. Список бумаг обозначен на законодательном уровне. Заявление подается в мировой суд по месту проживания партнера. Его образец можно взять в судебной канцелярии.
В перечень обязательных к представлению бумаг входят:
- копия документа, выданного при рождении малыша;
- копия паспорта истца;
- справка по месту проживания заявителя;
- документ, свидетельствующий об уровне доходов ответчика;
- справка, подтверждающая, что муж является биологическим отцом несовершеннолетнего.
Помимо этого, стоит позаботиться о сборе необходимых доказательств. Они также должны быть документально подтверждены:
- переписка с ответчиком;
- совместные фотографии, видеозаписи;
- записи разговоров;
- открытки, подарки, на которых расписался мужчина;
- квитанции о переводе средств.
При необходимости проведения экспертизы на отцовство ответчик обязан предоставить генетический материал. Если он откажется это сделать, то суд примет это как доказательство родственных отношений между малышом и партнером истца.
При положительном для заявителя исходе дела можно переходить к следующему этапу, а именно требованию об удержании с супруга алиментов. Порядок действий аналогичен парам, состоявшим в официальном браке.
Порядок подачи заявления на алименты без участия суда
Чтобы получить выплаты с бывшего мужа совсем необязательно прибегать к помощи суда. Родители вправе заключить договор, в котором будет прописана сумма поддержки несовершеннолетнего и условия ее получения.
Важно! Соглашение обретает юридическую силу только после его заверения у нотариуса. Данная процедура обязательна в соответствии со ст. 100 СК РФ.
Размер платежей не должен быть ниже установленного семейным законодательством уровня.
Договор признается исполнительным документом. Если отец малыша отказывается исполнять взятые в соответствии с ним обязательства, женщина может напрямую обратиться к судебным приставам.
Средства на мать до того, как малышу исполнится три года
К сожалению, гражданский брак не позволяет получить алименты с бывшего партнера на содержание опекуна малыша. Это объясняется тем, что правовыми актами урегулирован порядок выплат маме малыша, если отношения супругов регистрировались в ЗАГСе.
Как происходит взыскание?
Удержание денежных средств в пользу детей производится посредством нескольких обязательных этапов. В их число входят:
- Исполнительный документ передается приставам.
- Ведомство ставит в известность работодателя алиментщика.
- Организацией удерживается часть заработка, установленная в ходе судебного заседания. Средства перечисляются на счет, открытый опекуном несовершеннолетнего. Деньги должны поступать не позднее трех рабочих дней с момента начисления оплаты труда.
- В случае увольнения лица, в отношении которого установлено удержание, работодатель обязан уведомить об этом факте службу приставов. Алиментщик также обязан передать соответствующую информацию исполнителям.
- Если отец уклоняется от выплат, то в отношении него составляется заявление, направляемое в адрес правоохранительных структур.
Заключение
Таким образом, получить средства на содержание малыша возможно даже в гражданском браке. Для этого необходимо собрать полный пакет документов и составить исковое заявление.
Помимо этого, возможен мирный вариант решения вопроса. Для этого сторонами заключается соглашение, в котором указывается размер, периодичность и способ взыскания алиментов.
Стоит заметить, что удержание производится по той же схеме, что и в семьях, где супруги регистрировали свои отношения через ЗАГС.
Какие документы нужны чтобы подать на алименты в гражданском браке?
Хочу подать на алименты мужа. Какие документы нужны для подачи на алименты при гражданском браке? Могут ли возникнуть сложности, если муж не согласится с отцовством?
Ответ: В случае если супруги не пожелали официально оформлять свои отношения в ЗАГСе, то это принципиально ничем не отличатся от ситуации при зарегистрированном браке – родители также, в соответствие с семейным кодексом обязаны заботиться о своем общем ребенке. Единственным отличием и сложностью может явиться определение отцовства. Он прописывается либо добровольно с согласия отца в свидетельстве о рождении ребенка, либо устанавливается в судебном порядке.
Итак, какие документы нужны для подачи на алименты в гражданском браке?
При добровольном соглашении на алименты с заверением у нотариуса:
- Оригинал паспорта обеих супругов;
- Свидетельство о рождении общего ребенка;
- Справка о составе семьи;
- Справки о доходах;
- Доказательство отцовства.
В случае оформления судебного приказа в мировой суд:
- Заявление на выдачу судебного приказа;
- ФИО родителей;
- Данные о месте проживания родителей;
- При необходимости письменные доказательства и ссылки на них;
- копию свидетельств о рождении общих детей;
- справку о составе семьи;
- справки о доходах родителей;
- Доказательство отцовства.
В случае подачи искового заявления при спорных ситуациях для подачи в мировой суд:
- Исковое заявление;
- ФИО родителей;
- Данные о месте проживания родителей;
- При необходимости письменные доказательства об уклонении выполнения своих обязанностей;
- Цена иска и сумма требуемой выплаты;
- копию свидетельств о рождении общих детей;
- справку о составе семьи;
- справки о доходах родителей;
- Доказательство отцовства.
67 юристов в нашем
постоянном штате
295 консультаций оказано
за последний месяц
